상세검색
수강연령
수강인원
수업 및 반 편성
시설 및 편의사항
수준
특목고 실적
59 개의 학원이 있습니다
최신 학원 소식
금정구 장전동
금정초영어 찾는 분들께|신입생 소집일 학교 앞에서
부산에서 드물게 영하로 떨어진 오늘, 금정초 신입생 소집일에 맞춰 학교 앞에서 잠깐 홍보를 하고 왔습니다. 이 시기에는 자연스럽게 금정초영어를 검색하고 알아보는 학부모님들이 많아집니다. 3월 새학기를 앞두고 “어떤 영어가 아이에게 맞을까?” 고민이 시작되는 시기이기도 하고요 “원장님, 이제 홍보 안 해도 되지 않으세요?” 저는 그냥 때 되면 합니다. 길에서 학부모님들을 자주 만날 수 있는 날은 제가 먼저 교습소 밖으로 나옵니다. 홍보는 늘 그렇듯 결과는 몇 달 뒤에 나타나겠지요. 3월 시간표 조정 · 2월 등록 예정 오늘의 홍보는 지금 당장 인원을 늘리기 위한 움직임이라기보다, 3월 시간표 안내 금정초영어를 처음 접하는....... <img src="https://blogthumb.pstatic.net/MjAyNjAxMDhfMTgg/MDAxNzY3ODc2Nzg1NjUy.ChKL6J_fFUSqaV6KzzgfvTrPnpR9jkrsgF9mqk24n9og.gRIEX1_5BW82wkG4GxbI3AY-k2ABDKHscZ9r26iByJwg.JPEG/900%A3%DFIMG%A3%DF20260102%A3%DF164349%A3%DF435.jpg?type=s3" />
링키영어장전벽산블루밍점영어교습소
5일 전
금정구 장전동
<<키움어학원>>2026년도 잘 부탁드립니다 감사합니다 금정구 어학원
안녕하세요 키움어학원 금정본원입니다 2026년 새해가 밝았습니다 새해에도 항상 건강하시고 행복하시길 응원합니다 2026년에도 초심을 잃지않고 변함없는 열정으로 모든일에 임하겠습니다. 감사합니다 ㅡ키움어학원 금정본원ㅡ <img src="https://blogthumb.pstatic.net/MjAyNjAxMDFfMTky/MDAxNzY3MjUxNTE1NzI4.KTvOQgZMQoX4R3oylfQ7mWYIP_ps4DeZzLEfJdMCKEUg.6IKqluBI1QZcNt0-GM7WlpDlaN5v2P-R2IQBe3XU1r8g.PNG/900%A3%DFGreen_%A3%A6_Blue_Modern_Gradient_Happy_New_Year_2026_Instagram_Post%A3%DF20260101.png?type=s3" />
키움어학원
2026.01.01
금정구 장전동
2026년 1월 시간표
부산대점 1월 시간표 : 1월 5일(월) 개강 조기등록 : ~12월 26일(금)까지 할인 * 전수업(입문~6급) 1대1 "맞춤형" 단기속성 수업 1월 특강반 : 소수 그룹 수업 / 교차 수업 가능 / 조기등록 10% 할인 1. "왕초보-2" 특강반 : 틀을 잡아주는 중국어 : 월~금 PM 2:00~4:00 (100분 수업) 2. "4급 실전" 특강반 : : 월,화 PM 1:00~2:30 (90분 수업) : 금 PM 1:30~3:00 (90분 수업) 3. "5급 실전" 특강반 : : 월~금 PM 3:00~5:00 (100분 수업) 4. 주말 HSK 및 HSKK 회화반 : 토요 집중반 : AM 9:00~PM 8:00 : 시간 선택 자유 / 소수 그룹 수업 / 1:1 개인 수업 5. 기초회화 수업 : 틀을잡아주는중국어 입문/기....... <img src="https://blogthumb.pstatic.net/MjAyNTEyMjBfMjcz/MDAxNzY2MjIzNjY5OTA3.pZxoTNwrDxKRfD-0aKNkmrAd4aoxRm9EXXwr9FShYZgg.AO6U4p2cQ0A3sQh6_s1YcvExBOO8QBQ3GwWFay6FPasg.PNG/1%BF%F9_%BD%C3%B0%A3%C7%A5.png?type=s3" />
북경중국어학원
2025.12.20
금정구 장전동
금정구 장전동유아영어 놀이처럼 익히는 5~6세 영어, 말하고 싶은 언어로 만나요
안녕하세요. 부산 금정구 장전동에서 유아·초등 전문 영어 수업을 운영 중인 노라쌤 영어, 링키영어 장전래미안점입니다. 5~6세 아이가 말도 잘하고 표현도 좋은데, 막상 영어는 어떻게 시작해야 할지 고민되시죠? 이 시기에 영어를 시켜야 하나요? 아직 한글도 완벽하지 않은데 영어는 빠른 것 같기도 하고요. 상담에서 가장 자주 받는 질문입니다. 결론부터 말씀드리면, 이 시기는 ‘학습’이 아닌 ‘노출과 감각’ 중심으로 영어를 접하기에 가장 적절한 시기입니다. 장전동유아영어 5~6세 영어, ‘언제’보다 ‘어떻게’ 시작하느냐가 중요합니다 유치부 아이들은 언어를 분석하거나 외워서 익히는 것이 아니라 듣고, 따라 하며, 몸으로 반응....... <img src="https://blogthumb.pstatic.net/MjAyNjAxMDlfOTMg/MDAxNzY3OTQzODg0OTE3.MNGytzVpCvm-oh4pyoRnadS4ujtvrx1x7weWVefAyOwg.cyIfFt64xqIujZAjwCw_xV_ZqCsowUZphW6F4XQNRrYg.PNG/5.png?type=s3" />
링키영어장전래미안영어교습소
4일 전
금정구 장전동
겨울방학 독서, 직접 관리하기 어렵다면? 독서 가이드와 솔루니 겨울방학 프로그램
독서는 많이 읽는 것보다 아이에게 맞게 읽는 것이 중요합니다. 아이의 수준이나 흥미를 고려하지 않은 독서는 책을 즐거운 경험이 아닌 공부나 숙제로 느끼게 만들 수 있기 때문입니다. 이번 겨울방학, 아이에게 맞는 독서 방법과 독서를 꾸준히 이어갈 수 있는 솔루니 독서 프로그램을 함께 살펴볼게요. 책을 고를 때 많은 부모님이 학년이나 나이를 먼저 기준으로 삼곤 합니다. 하지만 아이들의 읽기 능력은 개인차가 크기 때문에 연령에 맞는 책이 모두에게 적절한 선택은 아닐 수 있습니다. 아이의 수준보다 어려운 책은 글자를 따라가는 데 에너지를 많이 쓰게 되고, 그만큼 내용 이해까지 이어지기 어렵죠. 이런 경험이 반복되면 집중력도....... <img src="https://blogthumb.pstatic.net/MjAyNjAxMDhfMTYz/MDAxNzY3ODYxOTE5MTY2.S8XqtImlCqah4wsc6QRmuupVVTA5zjE_TzBaYv_8z3kg.qX2rzexnPTSVqPOGxpac_vTow-5JpPnVSQ5Ki_Pj5bIg.JPEG/0.jpg?type=s3" />
눈높이러닝센터금샘학원
5일 전
금정구 장전동
박민성의 4급 합격 후기
4급 합격 후기 공지 HSK 4급 합격 후기 인기멤버 곱배기 1:1 채팅 2025.12.22. 17:37조회 8 댓글 1URL 복사 예전에 다닐 때 너무 수업을 너무 빠져서 이번에 다시 등록해서 준비했는데 다시 잘 알려주셔서 합격한 거 같습니다 ! 알려주신 부분에서도 많이 출제가 된 거 같아서 좋았습니다 ~~ 다음에 5급 시험 준비 할 때 또 등록하겠습니다 !! 감사합니다 ! 한인기 민성 축하해여 솔직히 좀 불안했는데 ㅋㅋㅋ 후기 고맙구요. 5급 하러 빨리 오시와요 2025.12.28. 16:21답글쓰기
이지차이나(Easy China)학원
2025.12.28
금정구 장전동
[장전동 수학] 겨울 방학 사고력 특강 개요
반갑습니다! 필매쓰 장T입니다. 이 글을 보시는 모든 분들 26년에 다짐한 계획, 잘 실천하고 계시나요? 올해 좋은 일들만 가득하길 빕니다. 오늘은 방학을 맞아 초등부를 대상으로 개강한 사고력 특강에 대해 간략하게 설명해 보겠습니다. 1월 6일, 그러니까 지난 화요일부터 수업을 시작했는데, 우리 아이들이 어떤 인상을 받고 있는지 궁금하네요. 사고력 특강의 목적은 크게 두 가지입니다. 하나는 중, 고등 과정을 진행할 때 교과서에서는 언급이 되지 않거나, 시간을 투자하여 설명하기가 애매한, 그러나 문제를 풀 때 알고 있다면 크게 도움이 되는 내용을 초등학교 때, 상대적으로 여유 있는 겨울방학에 배우는 게 목적. (성취도가 높은 고....... <img src="https://blogthumb.pstatic.net/MjAyNjAxMTBfMjYx/MDAxNzY4MDMyMTQ2NzY0.VtR27kSRwBiUPngsu3hx26wq1qENrTvTXPbW6riFSFIg.PYWoi5LEY0ziokBuaWQsjV2RC_V-lO6ItjenNtZM5mAg.PNG/image.png?type=s3" />
필매쓰수학교습소
3일 전
금정구 장전동
요즘 대세는 '취발러'~ 건강과 우아함을 동시에~
연제구에 위치한 연산스완발레아카데미학원입니다. -등록번호 5463호 ☆ 수요일 저녁 선생님 변동있습니다 ☆ 차가워진 날씨로 야외운동보다는 실내운동을 찾게되는 요즘, 연예인 셀럽뿐 아니라 많은 사람들이 함께 하고있는 발레~~ 몸의 핵심근육인 코어를 꾸준히쓰며 바른자세와 유연성,근력운동에 탁월한 효과를 줍니다. 오롯이 나를 위한 시간은 스트레스 해소와 집중력 향상에 큰 도움이 됩니다. 2026년 우리 함께 해볼까요? 1월등록은 12/20일부터 신규등록은 25일부터 가능합니다~ 자리가 있는 수업은 상시 등록 가능하며 조기 마감 되는 수업도 있으니 등록시 꼭 확인바랍니다~ 주차가능 ☎️ 010.3862.9333 카카오ID : swanba....... <img src="https://blogthumb.pstatic.net/MjAyNTEyMTdfMTgw/MDAxNzY1OTUyMjY1Mzkx.YCKcGqg5hj9IN36P44dvujjxDs4rxcVKK2JGpFNOcisg.O7cIW6W9FrqOKUV1mxTNQ_r213ajMnSSV6LE9apGQN8g.JPEG/IMG%A3%DF8347.jpg?type=s3" />
스완발레학원
2025.12.18
금정구 장전동
창의성 영재교육 CGE 금정키즈닥터 7세 닥터사고
#하바-정글속보물 주어진 시간안에 문제를 해결하며 자기주독적 문제해결력을 최대한 높여 줄 수 있으며 도구사용에 관한 순발력과 구성능력을 기를 수 있습니다. #라벤스부르거-라빈리스 유령이 보물을 찾을 수 있게 미로 바꾸기 찬스를 잘 이용하여 길을 이어나가는 교구입니다. 목표점을 이해하고 전략적 사고력을 향상시키며 미로를 만들면서 공간 지각 능력 또한 향상 시킬 수 있습니다. <img src="https://blogthumb.pstatic.net/MjAyNjAxMTJfMjE1/MDAxNzY4MTg4OTcwMzE4.1bSYT4o8sLjjQ1r6mYzz2DQuTLvi2C8zonh8FQyUVVMg.dPUDeDCYnIRig4YtNFwBYbjdnV_yld-cgPYqcDwxoX8g.JPEG/IMG%A3%DF1609.jpg?type=s3" />
키즈닥터학원
어제
금정구 부곡동
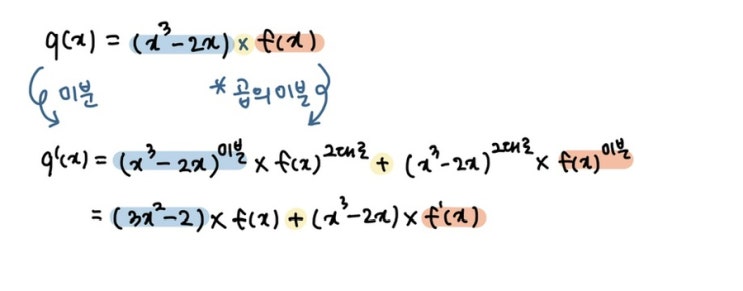
[모의고사 기출] 2026학년도 수능 수학 13번 | 준킬러 접선의 방정식 곱의 미분법
2026학년도 수능 수학 홀수형 13번 기출문제 풀이입니다. 수능이 치뤄진 지도 벌써 2달이 되어갑니다. 올해 고3이 된 학생들은 작년 기출, 그 중에서도 수능 기출만큼 중요한 교재는 없겠죠? 평가원 기출문제에는 평가원이 중요하게 여기는 개념, 접근방법이 녹아있습니다! 모든 문제를 풀이과정까지 꼼꼼히 풀이 하시고 소화하셔야 합니다~ 이번 수능 13번 문항입니다. 먼저 스스로 문제를 풀어보신 후 아래 풀이를 읽어보시길 바랍니다. ^^ 먼저 함수 평면 위에서 어떤 함수, x축, y축 등으로 둘러싸인 도형의 넓이를 구할 때는 교점을 구해야 합니다 교점의 대략적인 위치를 바탕으로 넓이를 구할 도형이 정삼각형인지, 직각삼각형인지, 혹은....... <img src="https://blogthumb.pstatic.net/MjAyNjAxMDhfMTIz/MDAxNzY3ODI5MzcyNjUy.srKdTsGnU_SgpTG3-x0JNJn_xILEgT8Jw6NsBoM-h3Eg.GPIK_u5h0penK8UfSoo0HDAkrTxfG_2xF7EfH_q8SBwg.JPEG/IMG%A3%DF2300.JPG?type=s3" />
에스투엔수학교습소
5일 전
금정구 구서동
쎈(SEN)진학 2026학년도 대입 정시모집 대학별 분석
서울시 교육청 자료입니다. 좋은 결과 있으시길 기원합니다.
비움앤채움국어교습소
2025.12.14
금정구 구서동
필즈더클래식 금정 <26년 7세 학부모 설명회> 참석 예약 안내
안녕하십니까 필즈더클래식 금정센터입니다. 26년 3월 신규 7세반 개강을 앞두고, 학부모님들을 필즈 금정센터로 초청하여 설명회를 개최합니다. 필즈 교육 과정과 교재 소개 및 평소 궁금하셨던 점들에 대하여 질의응답 시간을 가질 예정입니다. 아래 안내를 참고하시어, 설명회 참석을 원하시는 학부모님들께서는 예약 폼 작성 부탁드립니다. ▶대상 : 26년 기준 7세 자녀를 두신 학부모님 ▶일시 : 26년 1월 30일 (금) 오전 10시 30분 26년 1월 31일 (토) 오후 1시 30분 ★ 약 1시간 소요 예정입니다. ▶장소 : 부산시 금정구 금강로 429-1 해금빌딩 2층 (필즈더클래식 금정센터) ▶설명회 참석 예약 방법 : 아래의 예약 폼에 접속하신 뒤, 개....... <img src="https://blogthumb.pstatic.net/MjAyNjAxMDdfMjM0/MDAxNzY3NzgxNDMyNTU3.t87uG2JBn16KVXLhnF0L8XHyjvvY0gLpgoL9Ao4xe0Qg.G9dj4_y4z8QYKenRFaZUJDdTkGCrFypsQ9jAE8X5XOEg.JPEG/KakaoTalk_20260106_172359925.jpg?type=s3" />
필즈더클래식학원
6일 전
금정구 구서동
26년 수능 영어 31번 분석자료 ㅣ곡물무역회사의 수익 극대화방법
영문과 한글 해석의 같은 색깔부분을 비교 대조해서 해석연습해보세요 :) ❶ The early grain trade firms were active in both surplus-producing and food deficit regions, and these firms made it their business to know the state of supply and demand in both. 초기 곡물무역 회사들은 잉여 생산 지역과 식량 부족 지역 양쪽 모두에서 활발하게 활동했다. 그리고 이 회사들은 두 곳에서의 공급과 수요의 상태를 아는 것을 그들의 일로 삼았다. surplus : 잉여의, 흑자의 deficit : 부족 state: 상태 supply: 공급 demand: 수요 곡물을 사고파는 회사들은 당연히 곡물이 많이 생산된 지역에서 사들여서, 곡물이 부족한 지역에 팔아야 하....... <img src="https://blogthumb.pstatic.net/MjAyNjAxMDZfMjAg/MDAxNzY3Njg5MTQwMDc1.22TZ55KXwUJVkb-dMKoh-h1YuY0VT34zyRasohSI9Awg.5Uph_f4wz9YQvgFMTZqmV9_p-1YafJbDyiFsARds15Mg.JPEG/%C4%B8%C3%B31.JPG?type=s3" />
장선생영어연구소학원
1주 전
금정구 장전동
부산대영어학원 MC 주니어 어학원 TOSEL 겨울방학 특강
TOSEL 겨울방학 특강 수업 안내 겨울방학은 학기 중 부족했던 학습을 보완하고, 새 학기를 준비하기에 가장 좋은 시기입니다. 저희 학원에서는 이번 겨울방학을 맞아 TOSEL 겨울방학 특강 수업을 진행합니다. TOSEL은 단순 암기식 영어가 아닌, 사고력·독해력·문제 해결력을 종합적으로 평가하는 시험으로, 초등·중등 영어 학습의 방향을 잡아주는 데 큰 도움이 됩니다. 이번 특강은 TOSEL 유형에 맞춰 아이들이 영어를 이해하며 풀 수 있는 힘을 기르는 데 초점을 두었습니다. TOSEL 겨울방학 특강, 이런 점이 좋아요! 1️⃣ 시험 유형 완벽 대비 TOSEL에 자주 출제되는 문제 유형을 중심으로 수업을 진행하여, 아이들이 문제를 읽고 핵심....... <img src="https://blogthumb.pstatic.net/MjAyNjAxMDdfMjgx/MDAxNzY3Nzg3MTkzNDQx.26Y6LnV5YmEHdbz-wPliITYiZAYduDBTM7SLM49fNwMg.USW-zHM6ieEqtqeEB3lPa0D20fpVfz2FyhkdDYm8uxwg.PNG/%C7%CF%B4%C3%BB%F6_%C8%F2%BB%F6_%B1%F2%B2%FB%C7%D1_%B0%DC%BF%EF_%B9%E6%C7%D0_%C6%AF%B0%AD_%BC%F6%B0%AD%BB%FD_%B8%F0%C1%FD_%C6%F7%BD%BA%C5%CD.png?type=s3" />
MC주니어어학원
6일 전
금정구 부곡동
솜블리트리오 콘서트[Christmas in Love]
솜블리트리오가 전하는 겨울 콘서트 [Christmas in Love] 2025. 12. 18. 목 저녁 7시 센텀아트홀 벌써 11년째 연주활동을 지속하고 있는 솜블리트리오의 따뜻한 겨울이야기와 함께 하세요 클래식 앙상블이지만 다양한 장르의 음악을 선보이며 다수의 대중들, 음악 애호가들께 호평받고 사랑받아온 솜블리트리오 사랑과 행복이 가득한 크리스마스 콘서트에 초대합니다❤️ 2025년 센텀아트홀의 마지막 공연이며 솜블리트리오가 준비한 크리스마스 콘서트에서는 남녀노소 모든 분들이 즐겁게 감상하실 수 있는 따뜻한 감성의 다양한 음악들로 준비했습니다 클라리넷_유지훈 비올라_김가민 피아노_이혜경 2025년 12월 솜블리트리오 콘서....... <img src="https://blogthumb.pstatic.net/MjAyNTEyMTZfOSAg/MDAxNzY1ODc3MDgwNDE5.m-4Ey3_4Grbgi1_WJc-rQWAtTwmblh5zuQGL_nywn54g.zyoskXSCozHRWqxJQee1MihWm3Tae6yL7uH6AwMZLz4g.JPEG/900%A3%DF1764145300368.jpg?type=s3" />
이혜경피아노스튜디오교습소
2025.12.16
학원 진도, 우리 아이에게 맞을까요?
금정다수인학원
류승희국어전문학원
눈높이러닝센터부곡학원
눈높이러닝센터청룡학원
금정미래탐구고등관학원
한우리독서논술교습소
학원 말고, 요즘 대세는 따로 있어요!
최경환수학본원학원
북경중국어학원