상세검색
수강연령
수강인원
수업 및 반 편성
시설 및 편의사항
수준
특목고 실적
48 개의 학원이 있습니다
최신 학원 소식
부천시 옥길동
왜 초등 3학년부터 수학 학원이 중요할까요?
초등 3학년은 수학이 갑자기 어려워지는 학년이 아니라, '방식이 바뀌는 시기'입니다. 초등 3학년 수학, 무엇이 달라질까요? 연산 중심 → 개념 +문장 이해 중심 짧은 문제 → 조건이 많은 서술형 문제 따라 풀기 → 스스로 생각하는 문제 해결 이 시기부터 "어떻게 풀었는지 설명해 보세요" 라는 질문이 자연스럽게 등장합니다. ☞ 바로 이 지점에서 아이들 간 격차가 시작됩니다. 초 3 수학에서 가장 중요한 3가지 1) 개념을 '안다'와 '설명한다'의 차이 개념을 외우는 아이와 개념을 이해하고 말로 풀어내는 아이는 4학년, 5학년에서 결과가 완전히 달라집니다. 2) 문제를 읽는 힘 초3부터는 문제의....... <img src="https://blogthumb.pstatic.net/MjAyNjAyMTBfMTIz/MDAxNzcwNzE3NTc5NTQ4.7Q3Aucu-xWpzI3tuX9aLiBLrlkvmpiVuCMAYNzxsrNMg.IMkbG1oSAZD9d80ESHGau1su5dmSku3YkjTQnND53qwg.JPEG/KakaoTalk_20260210_185732161.jpg?type=s3" />
최동원수학보습학원
2026.02.10
부천시 중동
[뮤엠영어X폴리오 국어논술 중동점] 2026년 병오년 새해복 많이받으세요!
안녕하세요! 뮤엠영어 X 폴리오 국어논술 중동점입니다. 2026년 설 명절을 맞아 잠시 충전의 시간을 가집니다. 가족들과 함께 따뜻하고 웃음 가득한 연휴 보내시길 바랍니다! 설 연휴 휴원 및 개강 안내 휴원: 2월 16일(월) ~ 2월 18일(수) 개강: 2월 19일(목) 정상 수업 시작! 연휴가 끝나는 19일부터 우리 아이들의 새 학기 실력을 위해 다시 힘차게 달리겠습니다. 연휴 기간 중에도 문자를 남겨주시면 확인 후 순차적으로 연락드리겠습니다. 새해 복 많이 받으세요~!! 뮤엠영어 X 폴리오 국어논술 중동점 상담문의: 010-4146-3226 ✨ 영어 & 논술 - 1:1 맞춤형 밀착 관리 <img src="https://blogthumb.pstatic.net/MjAyNjAyMTNfMTI0/MDAxNzcwOTY3MjI1NzIw.XSY6LQpY2t6JW_fYHR5iS5hDoNjwcjFbZkh5HiGpLI0g.xs2-uuIqaJb5bjsU6kpMvVc1ot3fWqyG05toAxFI_10g.JPEG/900%A3%DF1770949415234.jpg?type=s3" />
뮤엠영어중동점보습학원
1주 전
부천시 중동
2026학년도 정시 서울대, 연세대 합격~!! -포텐수학 1호선 중동역 팰리스카운티 고등수학전문 정명고전문 부천여고전문 계남고전문 부명고전문 부천고전문 송내고전문
안녕하세요! 요즘 특강 수업으로 아이들과 치열한 방학을 보내고 있습니다 . 바쁜 하루하루를 보내던 중 너무너무 반가운 소식을 듣게 되었습니다~! 바로 대학 합격 소식입니다!! 이번에 연락 온 제자는 두 명입니다. 제자들이 보낸 메시지를 보자마자 기쁨의 탄성이 터져나왔습니다! 아! 드디어 아이들의 노력이 결실을 보다니 너무 기쁘고 감사했습니다!! 한명은 서울대 식품영양학과 (고려대 기계공학 동시합격)와 다른 한명은 연세대 생명과학부 (대구카톡릭대 약대는 기다리는 중)를 각각 진학하게 되었습니다!(예정) 자랑하고 싶다고 하니깐~ 합격증 보내주네요 ^^ 둘다 정명고 출신인데 내신이 나쁘지 않았지만 자신이 가고 싶은 대학에는....... <img src="https://blogthumb.pstatic.net/MjAyNjAyMDlfMTA2/MDAxNzcwNjEyODg5NTA0.0ynHcGDqiOlKDHXIScQR0HhCbuRZ-840LxztWO__HeQg.NDUhk4EclJGuCkyqZBzHZTw8btw-oagTpXv9KHIH73Eg.JPEG/KakaoTalk_20260207_101820331_01.jpg?type=s3" />
포텐수학과학입시진학지도학원
2026.02.09
부천시 원종동
!!제니스잉글리쉬 ) 고려대학교 토셀 지정교육기관 선정!!
안녕하세요 부천 상3동 대림아파트 2213동 902호에 위치한 제니스잉글리쉬 원장 제니입니다 ^^ 오랫만이죠? ㅎㅎ 방학기간은 ( 새학기 시작, 시험기간, 파티 등등으로 늘 바쁜 학원 일상이지만 ㅎㅎ) 특히나 특강수업으로 정말 평소보다 두세배는 더 체력이 요하는 기간입니다. ㅎㅎ 그렇게 바빴ㅈㅣ만 그 사이에도 저희 제니스 잉글리쉬에서 더 많은 영어 교육의 기회를 제공해드리고자 "토셀 영어 인증 시험"을 준비해왔습니다 !!! 열일하는 제니쌤 칭찬해~~ ㅎㅎ 일단 저희 학원이 이번 고려대학교에서 주관하는 토셀 영어인증 시험의 지정교육 기관으로 선정되었어요 !! (짝짝짝) 저희 제니스 잉글리쉬는 그동안 여름마다 삼성영어....... <img src="https://blogthumb.pstatic.net/MjAyNjAyMThfNjkg/MDAxNzcxMzgzNzQyNDc0.0RHtHH2mK-jJgMrNGuR-vfqLt-4RjI_vdlrxae06o_sg.O9Ae6thNYx8cgY55HUaQcSLt0hG7HuZnVB53Xq5Xc8og.PNG/image.png?type=s3" />
오정삼성영어교습소
4일 전
부천시 상동
재수성적 상승비결= 시스템 차이! 청솔학원 이투스메이트 2기 후기
️ 청솔학원 재원생 출신 이투스 메이트 2기가 전하는 후기 4탄 청솔학원 질의응답 시스템 & 성적 변화 후기 안녕하세요 ! 개인별 맞춤 학습 시스템의 원조 청솔학원입니다 ☺️ 재수는 결국 의지 싸움이 아니라 시스템 싸움이라는 말이 있기도 하죠 혼자 공부하면 질문은 미뤄지고, 오답은 쌓이고, 루틴은 쉽게 무너집니다. 하지만 ✔ 질문을 바로 해결할 수 있는 환경 ✔ 하루 공부를 기록하고 점검하는 구조 ✔ 정기적인 모의고사와 상담 시스템 이 세 가지가 갖춰지면 공부의 밀도가 달라지는데요 이번 1월 4주차 청솔학원 이투스 메이트 2기 후기는 그 ‘밀도의 변화’가 어떻게 성적 변화로 이어졌는지에 대한 이야기를 가져왔습니....... <img src="https://blogthumb.pstatic.net/MjAyNjAyMTlfNSAg/MDAxNzcxNDkwODYyMzY2.e2vttj5eljN6rmQB34fjk3zr2c0KctHT9f93vvVZCLkg.yPuT7qarsigiJGox7uIUNd-iEvWMYvLxsAihH6b9_50g.JPEG/20260110_090805816.jpg?type=s3" />
부천청솔입시학원
3일 전
부천시 상동
[부명고 영어내신] 2026 1학기 중간고사 대비 개강|미르에듀 원장직강 커리큘럼 [부천 상동 중동 영어학원]
부명고 영어내신은 “영어를 잘하는 학생”보다 ‘학교 시험 방식’에 맞춰 준비한 학생이 이깁니다. 특히 요즘 내신은 범위가 넓고, 지문을 그대로 내기보다 **어휘·문장·선지 변형 + 어법 + 서술형(영작/근거쓰기)**로 등급을 갈라놓는 흐름이 강해졌습니다. 그래서 미르에듀는 2026년 1학기 중간고사 대비를 부명고 영어내신 전용 설계로 진행합니다. 겉으로만 “내신반”이 아니라, 작년도 부명고 영어 내신 데이터를 기반으로 (출제 포인트/변형 패턴/서술형 루틴/수행평가 연결까지) 한 번에 맞춰 들어갑니다. 미르에듀 부명고 영어내신의 핵심: “원장직강”으로 변형을 통제합니다 부명고 영어내신 준비에서 가장 위험한 건, 수업이 ‘교....... <img src="https://blogthumb.pstatic.net/MjAyNjAyMDdfMTM1/MDAxNzcwNDM3NDQzNzk2.zuf5IyKGw2RAd2_qynRX5Q6dnxdzM9okzMfgOwrn7_Ag.61uKo8foHTrmGxGgVWxxSKNezR-4hOb0J3nc2OYmZ9sg.PNG/%BA%CE%B8%ED%B0%ED_%285%29.png?type=s3" />
미르영어보습학원
2026.02.07
부천시 중동
26-1학기 내신대비 고등부 정규수업 수강안내문 (고3)
안녕하세요 레벨미업학원입니다. 3/2(월)부터 26학년도 1학기 고등부 정규 수업이 순차 개강합니다. 수강안내문 안내드리오니 개설 수업 및 수업별 커리큘럼 확인을 원하시는 경우 참고 부탁드리겠습니다 ^^ 아래 수업 일정은 학원 수업 상황에 따라 변동될 수 있습니다. 수업 진행은 레벨테스트 후 상담 진행 통해 안내드리고 있습니다. 관련 문의는 학원으로 연락 부탁드리겠습니다. 감사합니다 ☺️ 26-1학기 레벨미업학원 고3 정규수업 수강안내문 상담 및 문의 <img src="https://blogthumb.pstatic.net/MjAyNjAyMjFfNiAg/MDAxNzcxNjUyMTQ3Njgy.Rz_hUB-WdowjRfnxFimp5FeKIqweueRzgq0vmdakZLEg.WzRX5dwSqLCR625ERj8r1hV-ur4YlYHbarxLLdu0ai0g.PNG/image.png?type=s3" />
레벨미업수학국어보습학원
어제
부천시 중동
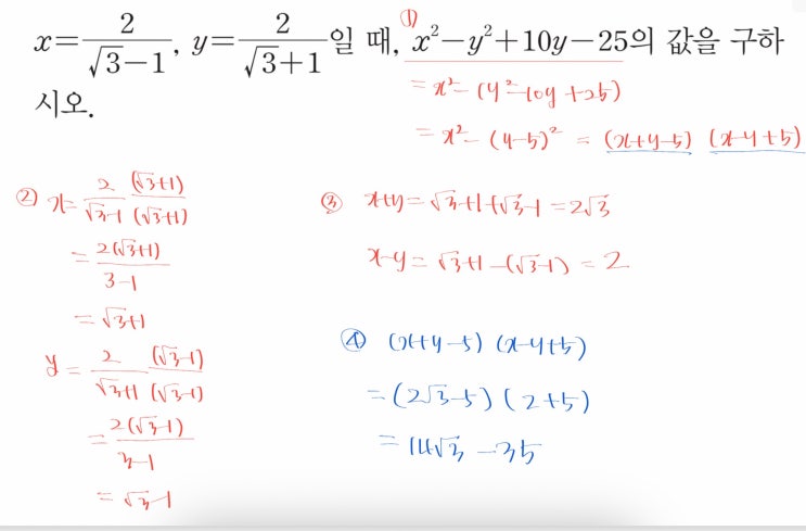
[중3-1 문제풀이 ] 루트 값 좀 그냥 넣지 말자! 제곱근의 계산과 인수분해 문제풀이
부천 목동썬수학입니다. 벌써 2월 19일! 이제 새 학기도 얼마 남지 않았죠~ 선행 공부도 열심히! 심화 공부도 열심히 해서 다가올 새 학기에 좋은 평가를 받을 수 있게 해봅시다~ 오늘은 중학교 3학년 1학기 제곱근, 루트, 근호의 계산과 인수분해 문제가 통합으로 출제된 문제를 풀어보겠습니다. 그냥 대입하지 말자! 제발 정리하고 대입하자! x. y 값이 나와 있다고 무작정 대입을 하면 답이 나오겠죠... 그런데 그렇게 풀라고 출제된 문제가 아니죠~ 그래서 학교에서 서술형으로 자주 출제되는 문제입니다. 서술과정까지 평가에 영향을 미치는 중요한 문제입니다. 제발~ 그냥 대입 좀 하지 맙시다~!~!!! 정리 해야죠! 무작정 대입하는 그런 무....... <img src="https://blogthumb.pstatic.net/MjAyNjAyMTlfMTA3/MDAxNzcxNDc3MDU5MTcw.BT95c3OV0O-yxxgojAVIXsRdj6CVR3_Aa_7GIPDN0Iwg.txTI3fTjbck8c9a3BjYSXz-957ZtNdwJFwB_Mt8FfKQg.JPEG/%C1%DF3-1_%C1%A6%B0%F6%B1%D9%C0%C7_%B0%E8%BB%EA%C0%CE%BC%F6%BA%D0%C7%D8.jpg?type=s3" />
목동썬수학교습소
3일 전
부천시 옥길동
[미래엔영어 옥길버들초점] 맛있는 떡국 드시고 2026년도 새해 복 많이 받으세요~
안녕하세요? 1대1 프리미엄 영어교습소 미래엔영어 옥길버들초점 Hazel입니다 곧 설날이 다가옵니다 아이들 얼굴에도, 교실 공기에도 벌써 명절의 설렘이 살짝 묻어나는 요즘이에요 이번 설에는 우리 미래엔영어 가족분들께 작지만 정성 가득한 선물을 준비했습니다 바로, 한 해의 시작을 따뜻하게 열어줄 떡국떡이에요 ♥ 아침 10시에 픽업하러 갔는데 인기많은 떡집이라 그런지 예약하신 분들이 많이 오셨더라구요 상자채 후다닥 들고 나왔답니다 설날 아침, 보글보글 끓는 냄비에서 하얀 떡국떡이 동동 떠오르고 고소한 육수 향이 집안 가득 퍼지면 그 순간만큼은 온 가족의 마음도 함께 몽글몽글해지겠죠 아이들은 “저 한 살 더 먹는거예요....... <img src="https://blogthumb.pstatic.net/MjAyNjAyMTJfMjU3/MDAxNzcwODkxMTQxMzc2.fdsO8L8fp1b6pAZGZi1auQSH4zL9jmyyloWRz-Lq-Wwg.BJVhZRDULSlbIM7V8K8g0Ik9JjR-sagkPGRA6KPE-lQg.JPEG/20260212_105548.jpg?type=s3" />
미래엔영어교습소
1주 전
부천시 옥길동
새학기 공부 습관 다시 잡는 방법 이렇게 실천해 보세요
안녕하세요. 와와학습코칭센터입니다. 새 학기가 시작되면 중학생이 된 예전 초등학교 고학년 학생은 이전 학기와 달라진 학습량과 난이도에 적응해야 합니다. 그러나 방학 동안 규칙적인 학습 습관이 흐트러져 있으면 수업 내용을 따라가기 어렵거나 과제를 미루는 습관이 나타날 수 있어요. 습관이 잡히지 않은 상태에서 학기를 시작하면 학습 효율이 떨어지고 자신감이 낮아지며 스트레스가 증가할 수 있습니다. 이러한 문제를 방지할 수 있도록 오늘은 새 학기 공부 습관을 다시 잡는 방법을 상세히 알려드리겠습니다. 첫 번째 방법은 하루 학습 루틴을 정하는 것인데요. 일정한 시간에 공부하고 쉬는 습관을 들이면 집중력이 높아지고 학습....... <img src="https://blogthumb.pstatic.net/MjAyNjAyMjBfNzgg/MDAxNzcxNTc2NTUxMjM0.b_TL3EFraD0Kzhv4Y0_vdDapoHqop8Qv3DqgyCAsry8g.wLJRCAtI2PFr5ryakQDBaVIkp_n3bAyv6oUsGn2JSK0g.JPEG/1.jpg?type=s3" />
옥길점와와학습코칭보습학원
2일 전
부천시 상동
고1 영어 내신, 1등급과 3등급을 가르는 결정적 차이
조현기 선생님이 알려주는 고등학교 영어 내신대비 by 조현기 T 중앙대 졸 현) 부천채움학원 현 )대치동MADE학원 고1 영어 내신 공부법, 중학교처럼 하면 무너집니다 “선생님, 저 중학교 때 영어 90점 넘었어요. 이번에도 교과서 외우면 되겠죠?” 고1 첫 영어 내신을 앞둔 학생이 가장 많이 하는 말입니다. 그리고 첫 시험이 끝난 뒤 가장 많이 하는 말은 이겁니다. “분명 공부했는데… 왜 이렇게 어렵죠?” 중학교 때는 통했습니다. 본문 암기, 해석 반복, 문제집 여러 번 풀기. 하지만 고등 영어 내신은 시험의 구조 자체가 다릅니다. 첫 시험에서 점수가 흔들리는 이유는 실력 부족이 아니라 공부 방식이 바뀌지 않았기 때문입니다. 고등 영....... <img src="https://blogthumb.pstatic.net/MjAyNjAyMjBfMTcy/MDAxNzcxNTgzNzAzNTQ2.R7qVjyCZGgVkKJ5WjxcqESoa0YdR7nLrkflwlxTo5hog.PoDUFiPc-ZRxe7M3f0aZB1Tq0kGzXRfVssJCQuPs8Qgg.PNG/01_%C7%A5%C1%F6_%C1%DF%C7%D0%B1%B3%C3%B3%B7%B3%C7%CF%B8%E9%B9%AB%B3%CA%C1%FD%B4%CF%B4%D9.png?type=s3" />
상동DPA(디피에이)보습학원
2일 전
부천시 도당동
2026.2.11.부터 H2비자를 F4통합시행 발표
법무 부는 2026. 2. 11.부터 H2비자를 F4비자로 통합한다고 발표하였습니다 H2비자에서 F4비자 통합으로 2027.12.31 까지는 수수료 면제 단 거소신고증 발급수수료는 부가됨 전자민원으로 신청가능 F4취업범위 확대 -건설 단순종사원 , 광업단순종사원,하역및적재 단순종사원,수동포장원,자동판매기 관리원,주차안내원,매장정리원,주유원,상표부착원 한국어능력 우수자 및 자원봉사자 인센티브 부여 - 사회통합프로그램 5단계 이수자는 GNI의 70% - 과거 6개월동안 100시간 이상 자원봉사 이력있는자는 GNI의 80% 영주자격신청시 적용됩니다 H2 비자발급중단 - 기존 H2자격소지자는 체류기간 까지 국내체류가능 - 조기적응프로그램 5시간을 이수.......
글로벌건축학원
1주 전
부천시 상동
[국비용접학원]26년 3월~5월 국비용접 개강일정
<국비 용접 수강신청 방법> 1. 국민내일배움카드 발급 필수★ -www. work24.go.kr (고용24) 사이트 또는 가까운 관할 고용센터 방문신청 2. 카드 발급 후 온라인 수강신청 -고용24 사이트 또는 스마트폰 어플 '고용24' 다운로드 부천특수용접학원 경기도 부천시 송내대로 73번길 42 반달빌딩 7층 (1호선 송내역 북부 2번출구 둘리거리) 032)322-9422 <img src="https://blogthumb.pstatic.net/MjAyNjAyMTlfOTEg/MDAxNzcxNDc5MzI3MDQz.Txx_eMoz5UBgjV6x3rXFG9hI-LobXYV3UxBwkwO5cDwg.CeG6iT40c5tJQZx1SSmanmweZBJIDvomU6jGXv9zExcg.JPEG/%A1%E1%B0%F8%C5%EB_%C8%C6%B7%C3%C0%CF%C1%A4%C7%A5001.jpg?type=s3" />
부천특수용접학원
3일 전
부천시 송내동
송내동 영어학원 부천베가스어학원 2026년 붉은 말의 해 멈추지 않은 실력 끝까지 이어지는 성장 설계 3월 신입생 대모집
2026년 3월 신학기 신입생 대 모집 개강일 : 3월 4일 수요일 모집대상 : 초등부, 중등부 안녕하세요 아이들의 무한한 성장을 설계하는 부천베가스어학원입니다. 2026년 붉은말의 해가 밝았습니다. 말은 멈춰 서지 않고 질주할 때 가장 빛납니다. 우리 아이들의 영어 실력 또한 학년이 올라갈 수록 주춤하는 것이 아니라, 더 높고 멀리 도약해야 합니다. 초등의 설렘이 중등의 자신감으로 , 그리고 고등의 압도적인 성적으로 이어지기 위해 필요한 것은 무엇일까요? 부천베가스어학원은 '단편적인 학습' 이 아닌 '지속 가능한 시스템'에 그 해답을 담았습니다. 왜 부천베가스어학원이어야 하는가? 많은 분이 영어를 '말....... <img src="https://blogthumb.pstatic.net/MjAyNjAyMTlfOTQg/MDAxNzcxNDc0Njk0NTE0.kaeOF0lHIZlVThPf67qqZtHcpAL-nGsYKkTYEX7AC80g.7B18YjCGC8LAsINpyyHDENVe9JrKhKUAu0LY4Me0DoAg.GIF/%BB%A1%B0%A3%BB%F6_%B1%CD%BF%A9%BF%EE_%BC%B3%B3%AF_%C8%DE%B9%AB_%BE%C8%B3%BB_%C0%CE%BD%BA%C5%B8%B1%D7%B7%A5_%B0%D4%BD%C3%B9%B0_%281%29.gif?type=s3" />
부천베가스어학원
3일 전
부천시 옥길동
일요일 월드뉴스 무료특강
⏬️수시로 진행되고 있는 일요일 NEWS 무료특강⏬️ 아이의 영어문제만 푸는 단계에서 이제는 '이해하고 설명하는단계'로 ♦️ 빨강영어 영어뉴스 특강은 ♦️ 실제 글로벌 이슈와 K-pop 뉴스를 활용해 ♦️ 독해력, 어휘력, 사고력을 동시에 키웁니다. 중,고등 내신+수능독해+사고력까지 한번에!!! <img src="https://blogthumb.pstatic.net/MjAyNjAyMDlfMjAw/MDAxNzcwNjE0MjA5MzU1.YyzKT662qjOJjW8zAPuZJUmpRTHCR5wLv0Nhlwo21Bwg.--vvyTU1HmZ1MQ2ZWsX1OTEvHpSYxauPTRRLCikiW8Yg.JPEG/900%A3%DF1770613232485.jpg?type=s3" />
빨강영어보습학원
2026.02.09
학원 진도, 우리 아이에게 맞을까요?
버들삼성영어교습소
옥길스키마보습학원
버겐(Bergen)영어교습소
에스피영어교습소
센클영어도서관옥길어학원
스터디모드옥길보습학원
학원 말고, 요즘 대세는 따로 있어요!
제이비잉글리쉬보습학원
연세포디움보습학원