상세검색
수강연령
수강인원
수업 및 반 편성
시설 및 편의사항
수준
특목고 실적
79 개의 학원이 있습니다
최신 학원 소식
남양주시 다산동
중 1 지금 준비하지 않으면 늦습니다.
안녕하세요? 미래엔수학 하늘초교실입니다. 3월은 추운 겨울을 지내고 봄을 맞이하며 새로운 출발과 설레임이 가득한 달 입니다. 우리의 아이들도 새학년 새학기를 맞이하며 새로운 환경에서 적응하며 새로운 꿈과 희망을 갖고 행복한 학교생활을 응원합니다. 오늘은 중1이 얼마나 중요한가? 에 대한 이야기를 전해드려고 합니다. 중학교는 초등의 연장이 아닙니다. 수학은 특히 더 그렇습니다. 초등 때 90점, 100점 받던 아이도 중학교 첫 시험에서 60점대로 떨어지는 경우, 정말 많습니다. 이유는 단순합니다. 문제가 어려워서가 아니라, 개념이 얕기 때문입니다. 중1 수학은 ✔ 음수 ✔ 문자와 식 ✔ 일차방정식 ✔ 함수의 기초 등 앞으로 3년....... <img src="https://blogthumb.pstatic.net/MjAyNjAzMDRfMjA0/MDAxNzcyNTk5MDY0NjQ4.Hj4HKkDr9uDcRI2BdBTD-wSPVA5KGseXo0t6fiBIVgYg.cQabOBiP072_TfYknac-93bNLKWFPXpdF23OS-an1rAg.JPEG/2026_%BD%C5%C7%D0%B1%E2_%C8%B8%BF%F8_%B8%F0%C1%FD_%C0%FC%B4%DC%28%C1%DF%B5%EE%2C_%BE%D5%B8%E9%29.jpg?type=s3" />
미래엔수학하늘초점학원
2일 전
남양주시 진접읍
예중·예고 입시 언제부터 준비해야 할까?
안녕하세요! 진접 창조의아침 미술학원 입니다 학부모님들과 상담을 하다보면 가장 많이 해주시는 질문이 있어요 "지금 예중 입시를 시작해도 괜찮을까요?" "예중 예고 준비는 언제부터 해야 하나요?" 미술을 좋아하는 모습을 보이면 진로까지 자연스럽게 고민하게 되시죠:) 그래서 오늘은 예중 예고 입시 준비에 대해 편하게 이야기 해 보려고 합니다. 빠르게 시작하는 것보다 중요한 것 예중 예고 입시는 단순히 '잘그리는 학생' 을 뽑는 시험이 아니라 이렇게 기초조형능력과 기본기가 탄탄한 학생을 선호합니다. 기본기가 부족하면 추후에 그림전체의 밸런스와 완성도, 구도에 대한 이해력이 무너질 수 있....... <img src="https://blogthumb.pstatic.net/MjAyNjAyMjFfMTE2/MDAxNzcxNjU5NzM4MDc4.1uDfc1PWeaTQxG9GKn9r0xbHoDW1f8jY2Gkr6o8zrLog.1Ci8NPH5x2B4bZBDJ-A0JH01VHzG5f8dvHTolO9HM4cg.JPEG/hj_%281%29.jpg?type=s3" />
진접창조의아침미술학원
2026.02.21
남양주시 진접읍
2026년 4월 ITQ 접수 안내
2026년 4월 ITQ 시험 (2026.4.11(토)) 한국사회컴퓨터학원 단체접수 안내 학원 단체접수는 3/5(목) 예정이며 접수마감일은 3/11(수)까지 입니다. 추가 접수를 희망하는 수강생은 담당샘과 상담하세요. 가. 원서접수기간 1) 2026년 3월 5일(목) 10:00 ~ 2026년 3월 11일(수) 23:59까지 2) 방문접수: 2026년 3월 11일(수) 18:00까지 (KPC자격 지역센터로 신청) ※ 시험시간(교시)은 컴퓨터로 자동배정되므로 선택하실 수 없으며, 수험표공고일 이후 수험표에서 확인하실 수 있습니다. 나. 접수취소(응시료 환불) 기간 1) 100% 환불기간 : 3월 16일(월) 18:00까지 2) 50% 환불기간 : 3월 17일(화) 10:00 ~ 2026년 4월 9일(목) 18:00까지 다. 수험표....... <img src="https://blogthumb.pstatic.net/MjAyNjAzMDVfMjcg/MDAxNzcyNjczNDUzMjY1.ul7fhQ_HlCtQNl854DRVgTd1r2zqzmebsK-0R3Bj0eYg.1VIKhx_mrCqjBGgGbo_j1Ahfbxp3uyuMK0wqbzmyVYgg.PNG/image.png?type=s3" />
한국사회컴퓨터학원
어제
남양주시 별내동
중간고사 수학 90점 이상 도전! - 별내 중등 수학학원 창의수학나무학원
안녕하세요. 별내 중등 수학학원 창의수학나무학원입니다. 수학 90점 넘으면 롯데월드 자유이용권을 쏩니다! 다가오는 중간고사, 그냥 시험으로 끝내지 않고 목표 + 성취 + 보상까지 모두 잡을 수 있는 창의수학나무학원 중등부 친구들을 위한 특별한 중간고사 이벤트를 준비했습니다. 이벤트 내용 창의수학나무 중등부 재원생을 대상으로 2026 1학기 중간고사 수학 과목 90점 이상 학생들에게는 롯데월드 자유이용권 1매 100점 학생들에게는 롯데월드 자유이용권 2매를 선물합니다. 왜 이런 이벤트를 하나요? 중학생 시기는 ✔ 수학 실력이 급격히 갈리는 시기 ✔ 공부 습관이 완성되는 시기 ✔ "할 수 있다"라는 자신감이 만....... <img src="https://blogthumb.pstatic.net/MjAyNjAzMDNfMTMx/MDAxNzcyNTExNjQ5MDUw.V9wHcGQr-K2tFyNh0onToZgUFHKniYWFlOqGvYtYaosg.rFaxdPhswKzKbzeXx6yeX5eifqAvc3to4GaJ3Nd0AqUg.PNG/%C1%A6%B8%F1%C0%BB_%C0%D4%B7%C2%C7%D8%C1%D6%BC%BC%BF%E4._%281%29.png?type=s3" />
창의수학나무학원
3일 전
남양주시 진접읍
우리 아이 왠지 힘들어 보인다면? '새학기 증후군' 극복하기!
안녕하세요. 지금 필요한 우리들의 학원! jp학원입니다. 어느덧 차가운 바람 끝에 봄기운이 스며드는 3월이 되었네요. 이맘때가 되면 새 가방을 메고 등교하는 아이들의 모습에 괜히 설레는 마음이 들기도 합니다. 하지만 모든 부모님의 마음이 설렘만 가득한 것은 아니겠지요. “엄마, 나 배 아파… 학교 안 가면 안 돼?” 아침마다 이런 말을 들으면 부모님의 마음도 덩달아 철렁 내려앉기 마련입니다. 어제까지만 해도 괜찮던 아이가 아침이 되면 기운이 없고 예민해져 사소한 일에도 짜증을 내면 ‘혹시 학교에서 무슨 일이 있는 건 아닐까?’ 걱정이 커지기도 하죠. 하지만 이것은 아이가 약해서가 아니라 낯선 환경에 적응하는 과정에서 나....... <img src="https://blogthumb.pstatic.net/MjAyNjAzMDVfMjA0/MDAxNzcyNjg2ODAyNzcw.2eFuHy73mX4CUyNA_UN50d1kTrfJKVYduH5jbUpXN2Eg.BZx-iHIgmnptcjshS22YOjI47gC6nV7YHT1kAhdJ3Kgg.PNG/image.png?type=s3" />
JP장현영어수학학원
어제
남양주시 진접읍
2026 신학기 권민수영어 중등부 3년으로 1등급을 조준한다.
안녕하세요. 진접입시와 영어의 새로운 기준 권민수영어입니다. 다음주면 이제 26년 3월 신학기가 시작됩니다. 풋풋한 봄내음과 함께 우리 개학 및 입학하는 학생들 축하합니다! 긴 방학동안 열심히 공부했을거라 생각하는데 오늘은 권민수영어 중등부 학습 과정과 이를 통해 고등내신 1등급 전략 커리큘럼을 안내드리겠습니다! 본원은 우선 지리적으로 광동고 근처에 위치해서 광동고 학생이 많지만 진접고 학생들도 있습니다. 두학교 내신 차이가 있지만 모두 최선을 다해서 수업합니다! 우리 아이들 남에 손에 맡기지 않고 제가 직접 수업합니다. https://blog.naver.com/minsu328/224107368233 권민수 영어 중등부 특징 본원은 중등부 내신 대....... <img src="https://blogthumb.pstatic.net/MjAyNjAyMjdfMTMw/MDAxNzcyMTY4MTcxNzA0.XzKNTvIjsXyJJERmSvKVSAOwGGBjqlWd0CPeH44s17cg.o4yVBwWWwhhyBNe5Dw35xn-vOZGjT86oT2XtrB45Wpsg.PNG/2025-08-20_14%3B20%3B31.PNG?type=s3" />
권민수영어학원
1주 전
남양주시 별내동
별내동 중고등학교 학사일정
<img src="https://blogthumb.pstatic.net/MjAyNjAzMDRfMjc2/MDAxNzcyNjE5ODYzMjg0.sJHKaeiv0hIAqeIwk_R7B-xxCIxKcjvwn1uJ1GUibEIg._zd7uNPYsZQb9YPFIMwkEcNveXv2gvlnn_teAzFDnUgg.PNG/%C7%D0%BB%E7%C0%CF%C1%A4.png?type=s3" />
위드원영수학원
2일 전
남양주시 다산동
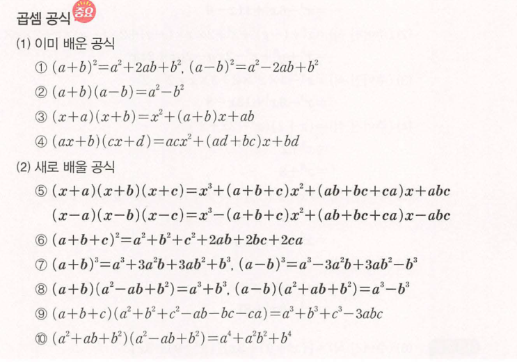
공통수학 곱셈 공식, 구구단처럼 외우는 순간 '수포자' 예약입니다.
구구단을 외우듯 외우라고 합니다만 저 공식들은 외우는 게 아니라고 말씀드리고 싶습니다. 저 공식표에서 중요한 것은 결과를 암기 하는 게 아니고 식의 전개능력입니다. 중학교 때 배운 완전제곱식과 합차공식부터 사실 절대 무턱대고 외워서는 안되는 것들입니다. 나중에 조합을 통해, 이항정리단원에서 이를 제대로 이해할 기회를 가집니다만 그때가서 다시 배울 게 아니라 이미 학생들은 중학교 때 경우의 수를 배우고 올라왔으므로 마찬가지로 경우의 수로 접근하여 전개능력을 키우는 게 먼저지요. 나중에 배울 이항정리도 결국 경우의 수 논리입니다. 경우의 수 논리를 적용하여 항이 몇 개가 나오는지 이들이 어떻게 조합되는지 무엇이....... <img src="https://blogthumb.pstatic.net/MjAyNjAyMTBfMTU3/MDAxNzcwNzEwNDQxMjEy.NpFD9lieHr2M7K-tGXx0hu2cv2vPNJEB-J3bwjrg0OAg.D2TZJ5XgS3RT3P36H8arWuNcVkH1F_32HmVQ6CUT6SYg.PNG/%BD%BA%C5%A9%B8%B0%BC%A6_2026-02-10_165933.png?type=s3" />
네꿈을이루는수학학원
2일 전
남양주시 화도읍
파닉스 완전 정복! 우리 아이들의 4분 성장 스토리 ✨
안녕하세요~ 학부모님♡ 영어를 처음 시작하던 날이 아직도 기억납니다. 알파벳을 조심스럽게 읽던 아이들, 입을 떼는 것조차 어색했던 그 첫 수업. 그런 우리 아이들이 오늘, 파닉스 전 과정을 마무리했습니다 ✔ 소리값 ✔ 단모음 / 이중모음 ✔ 이중자음 ✔ 장모음 원리 ✔ 혼합자음 ✔ 특수발음 원리로 배우고, 이해하며 읽고, 스스로 말해보는 과정까지. 단순히 문제를 푸는 수업이 아니라 “왜 이렇게 읽히는지”를 아는 시간이었습니다. 그리고 파이널 테스트까지 모두 완료했습니다. 결과도 중요하지만 더 값진 건 아이들의 태도였습니다. 틀리면 다시 읽고, 어려우면 끝까지 도전하고, 친구가 잘하면 함께 박수 쳐주는 모습. 이 과....... <img src="https://phinf.pstatic.net/image.nmv/blog_2026_02_28_2590/BoH8IFBMZc_03.jpg?type=f480x480" />
GnB패럴랙스학원
6일 전
남양주시 다산동
3월, 새로운 시작을 축하합니다!
설레는 마음으로, 조금은 긴장된 표정으로 학교 문을 들어설 우리 다산린피아노 아이들 진심으로 입학을 축하합니다. 한 해 동안 피아노 앞에서 성실하게 앉아 한 음 한 음 쌓아온 시간들이 이제는 더 큰 세상으로 나아가는 힘이 되었기를 바랍니다. 입학은 단순히 학교에 들어가는 날이 아니라, 아이의 세상이 한 뼘 더 넓어지는 소중한 순간이라고 생각해요. 그래서 다산린피아노는 작은 선물이지만 큰 마음을 담아 아이들의 새로운 출발을 응원합니다 ✨ 사랑하는 우리 아이들, 학교에서도 자신 있게, 씩씩하게, 그리고 따뜻하게 자라나길 바랍니다. 그리고 늘 곁에서 응원해주시는 부모님들께도 진심으로 축하와 감사의 마음을 전합....... <img src="https://blogthumb.pstatic.net/MjAyNjAzMDVfMzkg/MDAxNzcyNjYzODA4MzQw.8sbc_jhds3H2RTDU2hhfBZHoyhG6TkepUdsoq0Fylpcg.8U4V57VycuNQWa0wLWf9ttZ3bMvWkiDDoqxVgW4nNYUg.JPEG/IMG%A3%DF4194.JPG?type=s3" />
다산린피아노음악학원
어제
남양주시 호평동
간호조무사 자격증, 가장 완벽한 타이밍은? 바로 3월 시작반입니다!
안녕하세요! 간호조무사 양성 인재의 요람, 남양주간호학원입니다. 간호조무사 자격증 취득을 고민하시는 분들이 가장 많이 하시는 질문이 있습니다. 언제 시작하는 게 가장 좋을까요? 물론 배움에는 때가 없다지만, 자격증 취득부터 취업까지 가장 효율적으로 이어지는 '골든 타임'은 분명 존재합니다. 간호조무사 자격증 취득을 고민하고 계신다면, 더 이상 미루지 마세요! 왜 수많은 합격생이 '남양주간호학원'을 선택할까요? 같은 시간을 공부해도 결과가 다른 이유는 '교육의 질'과 '관리'의 차이입니다. 저희는 여러분의 합격을 위해 다음과 같은 확실한 혜택을 제공합니다. 1. 합리적인 수....... <img src="https://blogthumb.pstatic.net/MjAyNjAyMTlfMjM3/MDAxNzcxNDY2NDg1NDcw.1ABygacbVcZW3PIGqSPZydDDR9GfK0qVvoVfd0cthjgg.dw1TQsK8dA8RI6_Z8HDVHh4pJw4tQmKRagdsZYvfAp0g.PNG/image.png?type=s3" />
남양주간호학원
2026.02.19
남양주시 화도읍
[남양주 마석 학원][와이앤로직학원 입시톡톡] 예비고 1 주목! 생기부 채우는 방법 알려드립니다 :)
안녕하세요 와이앤로직입니다:) 고등학교 입학을 앞두고 있다면 꼭 알아야 할 것이 바로 학교생활기록부, 이른바 생기부입니다! 생기부는 단순한 성적표가 아니라 고등학교 3년간의 학업과 성장 과정을 담은 종합 포트폴리오입니다. 특히 2028학년도 입시부터는 고교학점제 영향으로 학생부종합전형뿐 아니라 일부 대학의 정시 수능 전형에서도 반영될 예정이라 그 중요성이 더욱 커지고 있습니다. ✅ 생기부는 총 9개 항목으로 구성됩니다. 인적·학적사항 출결상황 수상경력 자격증 및 인증 취득상황 학교폭력 조치상황 관리 창의적 체험활동상황 교과학습발달상황 독서활동상황 행동특성 및 종합의견 이 중 실제로 학생의 학교 활동이 주로 기.......
와이앤로직학원
2026.02.23
남양주시 다산동
신학기 학생모집 & 주말 수업 안내
영어 하나는 확실히 가르치는 STN대치학원입니다. * 신학기 3월 중1 영어반 모집 중학교 영어, 시작이 전부입니다. 3월, 중1 첫 출발을 제대로 잡아야 내신도 수능도 흔들리지 않습니다. ✔ 개념을 ‘아는 척’이 아니라 진짜 알 때까지 ✔ 숙제 점검 · 단어 구두시험 · 문법 백지 테스트까지 철저 관리 ✔ 이해 안 되면 멈추고, 될 때까지 반복 ✔ 부모님이 집에서 따로 챙기지 않아도 되는 시스템 영어는 관리가 실력입니다. 처음부터 습관을 제대로 잡아드립니다. 소수 정원 / 원장 직강 / 반 편성 선착순 마감 이번 3월, 우리 아이 영어 실력의 기준이 달라집니다. * 주말 고등 수능반 개강 모집 수능 영어, 감이 아니라 전략입니다. ✔ 평가....... <img src="https://blogthumb.pstatic.net/MjAyNjAyMjFfMjkw/MDAxNzcxNjQ1ODA2MTM3.XXBdA8cRK168Ksfwz1nFyIk_lQ1-YeRyPGrr27pL_lsg.iL6R2pkTi9WM4ciU96mLdv_TqsM5staCou7PXdgLbSQg.JPEG/20260221_124648.jpg?type=s3" />
STN대치학원
2026.02.21
남양주시 호평동
(남양주/호평동/영어학원/수학학원)공감수학영어학원 관내 중고등학교 학사 일정 안내
안녕하세요! 호평동 공감수학영어학원입니다. 3월 3일 개학을 시작으로 2026학년도 새 학기가 힘차게 출발합니다! 새로운 학년이 시작된 만큼, 학부모님과 학생들이 미리 준비하실 수 있도록 2026학년도 호평동 관내 중학교, 고등학교 학사일정을 안내드립니다. 판곡중학교 2026학년도 1학기 판곡중학교 주요 일정 안내 1학기 1차 정기시험(중간고사) : 4월 26일 ~ 4월 27일 1학기 2차 정기시험(중간고사) : 7월 3일 ~ 7월 7일 여름방학 : 7월 21일 2학기 1차 정기고사(중간고사) : 9월 30일 ~ 10월 1일 2학기 2차 정기고사(기말고사/3학년) : 11월 16일 ~ 11월 18일 2학기 2차 정기고사(기말고사/1,2학년) : 12월 15일 ~ 12월 17일 호평중학.......
잉글리시아이공감수학영어학원
3일 전
남양주시 다산동
과일과 야채를 다른 시각으로 볼까요? 유코 쿠리하라 알아보기!
안녕하세요, 여러분! 드로잉전문, 비비드 미술학원입니다 이번 수업으로는 일본 화가, 유코 쿠리하라 (Yuko Kurihara)의 작품을 관찰하고 함께 공부해보았습니다. 패턴과 다양한 색감을 주제로 관찰하는 시간을 가졌어요 먼저, 작가님의 패턴화된 다양한 작품들을 아이패드로 먼저 관찰했어요. 이어서 직접 나만의 패턴을 만들어보며 관찰, 구성, 패턴화의 과정을 통해 색채 감각과 화면 구성 능력을 체계적으로 확장하는 데 중점을 두었답니다^^ ❤️ 작가님의 작품을 그대로 따라 그리기보다 ‘재해석해보기 위해’ 내가 원하는 과일, 야채를 골라서 그리며 색채연습과 조형적 해석해보기~! 그럼 ! 비비드 친구들이 어떻게....... <img src="https://blogthumb.pstatic.net/MjAyNjAyMjdfMjMy/MDAxNzcyMTgzNzg5MzA3.jbFf7LA810T0zu88LqBs_9jgqCfPl8F1KpqWlFOqUK4g.zxsSJQRDQoXHT-oHDc5sPPLS4QlQFnieCmktCXamUuwg.JPEG/KakaoTalk_20260227_180832730_03.jpg?type=s3" />
비비드미술학원
1주 전
학원 진도, 우리 아이에게 맞을까요?
비타연세학원
SLT스카이학원
잉글리시아이진접2관학원
리미트수학학원
이젠수학교습소
탑클래스학원
학원 말고, 요즘 대세는 따로 있어요!
진접최상위수학학원
에듀1618학원