상세검색
수강연령
수강인원
수업 및 반 편성
시설 및 편의사항
수준
특목고 실적
23 개의 학원이 있습니다
최신 학원 소식
원주시 무실동
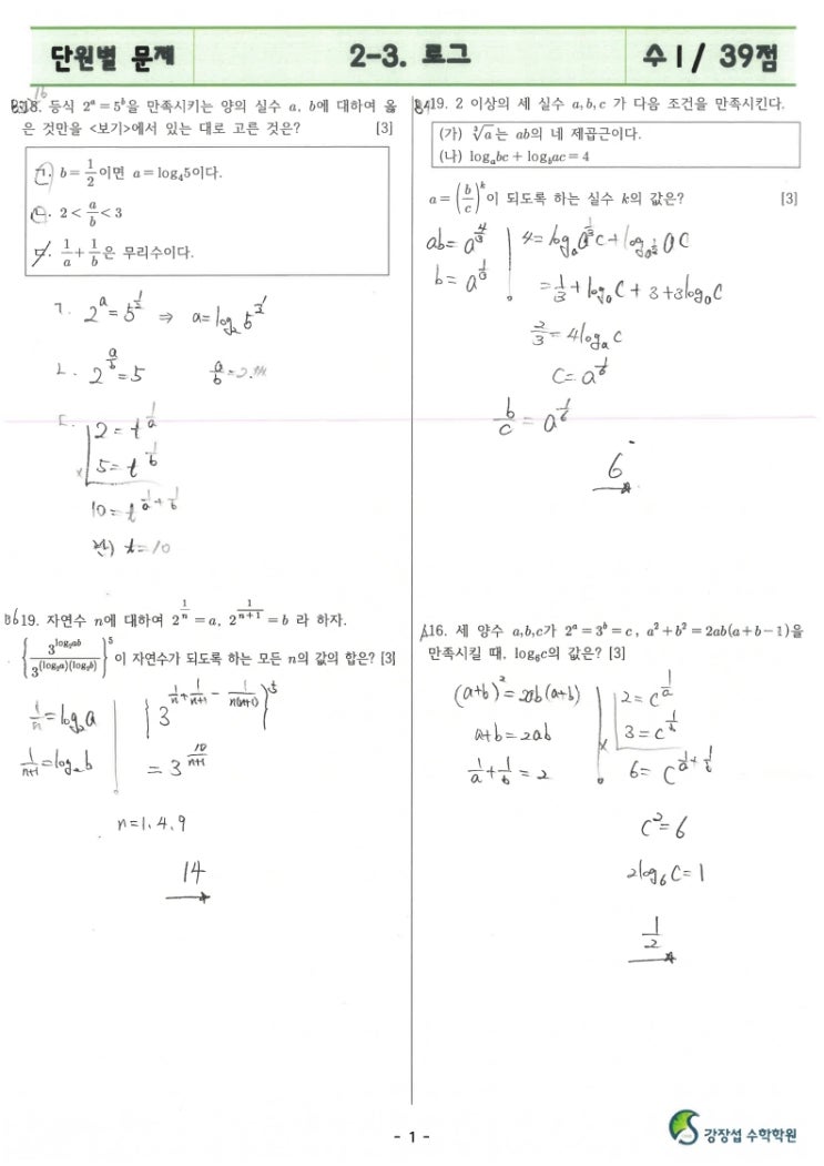
단원별문제-수1-2-3.로그-원장풀이
<img src="https://blogthumb.pstatic.net/MjAyNjAxMTlfMTg5/MDAxNzY4ODE1NDU1ODgw.JalU2EPFS-LvbJomephplgkywdqVY_0MKMiJzeYIvvcg.a2bbvDW7-F3PK13f8sXf8_Pm7WQS_ujczuoLatRBdekg.JPEG/%B4%DC%BF%F8%BA%B0%B9%AE%C1%A6-%BC%F61-2-3.%B7%CE%B1%D7-%BF%F8%C0%E5%C7%AE%C0%CC_1.jpg?type=s3" />
강장섭수학전문학원
2일 전
원주시 단구동
상지여고는_김정은영어학원
상지여고 영어전문 김정은영어학원 원장님의 상지사랑이 남다르다는 소문이 자자하죠 자세한 내용은, [블로그 학교시험 분석] 에 많이 있습니다. 선배들의 결과가 입증하고있기에 긴말이 필요없다고 봅니다 생각보다 이번에 배정을 많이 받지않아, 4자리 정도 티오 있습니다. 상지여고 영어 수업시간은 화목금 7시-9시 입니다. 교육문의는 010 2575 4817 로 전화나 문자 주세요! 주말에는 통화연결이 어려워, 월요일 15시부터 순차제으로 연락드리겠습니다 #신뢰의이름김정은영어학원 #김정은영어학원 #어차피_영어는_김정은영어학원 #단구동영어학원 <img src="https://blogthumb.pstatic.net/MjAyNjAxMTdfMjY2/MDAxNzY4NjA3NTQ5OTE3.rp1RY_dBc0YYhiHoIpmX9TMX_NcbISaVozw6RqPZlMog.hjZVdq_m_QOp4QuFn6pS-DlI3tE9gbIwrCINX8uCrCUg.JPEG/900%A3%DFIMG%A3%DF20260117%A3%DF084116%A3%DF935.jpg?type=s3" />
신뢰의이름김정은영어학원
4일 전
원주시 관설동
2025년 크리스마스 미니콘서트
❤️크리스마스 미니콘서트 12월 24일, 크리스마스 이브에 열린 “크리스마스 미니콘서트”는 아이들이 하나되어 서로의 연주를 집중해서 감상하는 뜻깊은 시간이 되었습니다! 아이들에게도 좋은 추억이 남겨진 것 같아 뿌듯합니다 이번 연주회 때 참여하지 못한 친구들도, 다음 연주회때는 모두가 함께해서 더 풍성하고 멋진 연주회가 되길 바랍니다 :) + 뒷풀이 라면파티!! ✨ . . . . . . ⚪033.765.7879 ⚫010.7453.6774 (문자상담 가능합니다.) 우리 아이들의 원활한 수업진행을 위해 상담은 예약제로 진행되고 있습니다. 전화후 방문부탁드립니다 :) 감사합니다❤ #뮤즈음악학원#원주피아노학원#원주피아노레슨#단관초정문....... <img src="https://blogthumb.pstatic.net/MjAyNjAxMDhfMjUy/MDAxNzY3ODc5NTE1OTg4.akWTBYPVVKAe_SpfbARg4VgukHyik9vXmFQKc1BiYW4g.CWcmCB30Dz6CbZ8WE4WRog4toinnkIw5cvWPgzqN6hwg.PNG/IMG%A3%DF1167.PNG?type=s3" />
뮤즈음악학원
2026.01.08
원주시 단구동
[뇌가 좋아지는 백지공부법]
<img src="https://blogthumb.pstatic.net/MjAyNjAxMDZfMTgz/MDAxNzY3Njg1MDQ1OTM2.PpLNZ-6ln45awcn0pECgB48EDMhFYTu9OnMR5gSw6Kgg.A4h3gAQA3X3RjiO3hE6ThrtHMOiDb5T9lrxW6JKyR6kg.PNG/001.png?type=s3" />
초석대입전문학원
2026.01.06
원주시 개운동
원주 관리형 독서실, 실패 없는 재수·N수의 시작을 원한다면?
1. 원주 재수·N수, 이제는 ‘혼자 공부’의 한계를 인정해야 합니다 “이번에는 꼭 끝까지 가야지.” 다짐은 누구나 합니다. 하지만 대부분의 수험생은 2~3주가 지나면 흐트러지기 시작합니다. 그 이유는 간단합니다. 공부 의지가 부족해서가 아니라 혼자 감당하기 어려운 하루 관리 때문입니다. 이럴 때 필요한 곳이 바로 ‘원주 관리형 독서실’입니다. 2. 계획은 매번 세우는데, 왜 실천이 안 될까요? 아침 기상이 늦어지고 공부 시작은 점점 미뤄지고 쉬는 시간은 늘어만 가고 계획표는 지켜지지 않죠. 이런 흐름을 반복하다 보면 불안감과 자책감만 커집니다. 이럴 때일수록 중요한 건 ‘공간’과 ‘관리’가 함께 있는 시스템입니다. 원주....... <img src="https://blogthumb.pstatic.net/MjAyNjAxMTVfMjQ4/MDAxNzY4NDYxMTc1NzU0.Afq5EWzoR40uulR871QZ-D9YnO5jTzvnNJ5XdgXqc4Ag.Ti2TgCMlfrK-aFJs2DfrITABEXkgg8-U58k_N5iL4icg.JPEG/1.jpg?type=s3" />
ssc스파르타스터디센터학원
6일 전
원주시 무실동
원주 무실솔샘 아트앤하트 크리스마스 수업 어드벤트캘린더 만들기!_!
안녕하세요. 무실솔샘 아트앤하트입니다ᡣ • . • ♡ 크리스마스를 기다리는 시간은 아이들에게도 어른에게도 늘 설레는 순간입니다. 이번 수업에서는 아이들과 함께 크리스마스 어드벤트 캘린더 작품을 만들어보았습니다. 어드벤트 캘린더란? (Advent calendar) 하루에 하나씩 열어보며 기다리의 즐거움을 느끼는 달력 이번 미술 활동에서는 단순히 만들기를 넘어 시간, 기대, 표현을 함께 경험하는 수업으로 진행되었습니다. 이를 통해 시간의 흐름을 이해하고 순서를 계획하며, 기다림 속 설렘을 긍정적으로 경험할 수 있습니다. 집에 가져간 어드벤트 캘린더는 하루에 하나씩 열어보며 아이와 함께 "오늘은 어떤게 나올까?" ....... <img src="https://blogthumb.pstatic.net/MjAyNjAxMDdfMjYw/MDAxNzY3NzU4MTQ2MzUx.3HDbOJdAcs7lzgqghRkG5ML-Yzs4kkrb8MoUNpgLtLsg._yVhqwA7ZXoVBxD4okUnxYayu15dKH1w-YcTB74BphIg.JPEG/KakaoTalk_20260107_124752906_11.jpg?type=s3" />
아트앤하트무실솔샘미술교습소
2026.01.07
원주시 행구동
❤️원주SNT영어❤️ 1/19(월) 1/20(화) 겨울방학입니다❄️
❤️원주SNT영어❤️ 1/19(월) 1/20(화) 겨울방학입니다❄️ ㆍㆍㆍㆍㆍ ✨️ 에센티영어 수강료 : 26년 정규강좌기준 초등 25만원 중등 30만원 고등36만원입니다 (25년원비동결) 에센티영어 학원차량운행 : 단구 혁신 태장 방면 운행하고있습니다 신규상담문의 행정실 ) 010. 7663. 6752 <img src="https://blogthumb.pstatic.net/MjAyNjAxMThfMjcg/MDAxNzY4NjYzMjk5NTc5._bRCAWRzYa1X0bVC2ZhsEEoXg7UA9PXmo52NfmbmYo4g.cpP_LsfNnQg9o6RUbxegLAmbHuyxKXhJjc7vaDxTRuAg.PNG/900%A3%DF%C1%A6%B8%F1%C0%BB%A3%AD%C0%D4%B7%C2%C7%D8%C1%D6%BC%BC%BF%E4%A3%DF%A3%AD002.png?type=s3" />
에스엔티(SnT)영어학원
3일 전
원주시 태장동
[학부모설명회] 아소비 큐미르 태장학원
안녕하세요 아소비 큐미르 태장학원입니다. 날씨가 많이 추워진 만큼 우리 아이들의 새 학년, 새로운 시작도 어느덧 가까워졌습니다. 그동안 아소비와 큐미르에서 함께 차곡차곡 쌓아온 시간이 새 학년에서 더욱 빛나길 바라는 마음으로 입학 설명회를 준비하였습니다. 아소비 & 큐미르 프로그램의 교육적 특성과 효과를 바탕으로 교육과정, 학습 운영 방향, 생활지도 방침까지 학부모 설명회에서 안내해 드립니다. 아이의 성장 흐름에 맞는 학습 방향을 이해하고, 우리 아이에게 꼭 맞는 계획을 함께 고민해 보는 시간이 될 것입니다. 학부모 설명회 안내 아이의 첫 학습과 앞으로의 학습 방향이 궁금하신 학부모님을 초대합....... <img src="https://blogthumb.pstatic.net/MjAyNjAxMjBfMTIz/MDAxNzY4OTA3ODc4NDQy.VVqPRAU7zZ1zGg9Gi7DcVexjWG8ChPPa71qOUJopQ2Ag.TfDSxVd_lp7Vvs8kSLJemzICFu449fXAx5wOL4xbRkMg.PNG/900%A3%DF%C7%CF%B4%C3%BB%F6_%C7%C1%B7%B9%C0%D3%BF%A1_%BC%B1%BB%FD%B4%D4_%C0%CF%B7%AF%BD%BA%C6%AE%C0%C7_%B4%EB%C0%D4_%BC%B3%B8%ED%C8%B8_%C6%F7%BD%BA%C6%C3%A3%DF20260120%A3%DF193847%A3%DF0000.png?type=s3" />
아소비원주태장학원
어제
원주시 태장동
(원주 태장동) 1365 '그리다' 페이스페인팅으로 대박난 행사. YBM잉글루 크리스마스 바자회
원주 태장동 영어수학 학원 YBM잉글루 이번 크리스마스~ 대박 재밌었어요~^^ 후기 전해드립니다. 이번 크리스마스 바자회에 대한아트페이스 페이팅협회 1365 '그리다' 에서 페이스페인팅 지원을 나와 주셨어요~! 오오옼~ㅎ 즐거운 크리스마스 바자회 25년도 마지막 연말행사인데 페이스페인팅으로 더 큰 추억을 만들어 주셨답니다. 저희 학원에 다니는 자녀의 학부모님들께서는 대한아트페이스협회 1365 '그리다'를 하고 계셨더라구요 1365가 1년 365일 자원봉사센터인데 정말 대단하지 않나요?ㅎ 이렇게 페이스페인팅도 받고 크리스마스 포토존에서 사진 찍으면~ 잉글루 게임권도 받고 먹거리 중 한개를 무료로 먹을 수 있....... <img src="https://blogthumb.pstatic.net/MjAyNjAxMTZfMTAx/MDAxNzY4NTM2ODg0MTY2.ZKRkqJm82579kEjan8AbcnkInAeDj8hSCWPb1oF6nesg.LFApKFQyMBvneXwiokhmh4Y1gWe3Oi7iqqzyONrQHA8g.JPEG/%BD%E6%B3%D7%C0%CF_copy.jpg?type=s3" />
YBM잉글루강원태장학원
5일 전
원주시 단구동
[뇌가 좋아지는 백지공부법]
<img src="https://blogthumb.pstatic.net/MjAyNjAxMDZfMTgz/MDAxNzY3Njg1MDQ1OTM2.PpLNZ-6ln45awcn0pECgB48EDMhFYTu9OnMR5gSw6Kgg.A4h3gAQA3X3RjiO3hE6ThrtHMOiDb5T9lrxW6JKyR6kg.PNG/001.png?type=s3" />
초석학원
2026.01.06
원주시 일산동
2025 예랑 크리스마스 연주
예랑피아노 정기 연주회 이야기 안녕하세요 예랑피아노입니다 지난 12월 19일, 예랑피아노 아이들과 함께 따뜻한 크리스마스 정기 연주회를 진행했습니다 ❣️ 연주회는 아이들에게 단순히 “연주를 잘하는 자리”가 아니라 그동안의 연습 과정 , 성장을 스스로 느껴볼 수 있는 소중한 경험이기에 매년 정성스럽게 준비하고 있습니다 ☺️ 매년 학원에서 진행했던 연주회를 올 해는 외부에서 진행하게 되었는데요 무대에 오르기 전부터 아이들의 설렘과 긴장이 함께 느껴지는 시간이었어요 서로를 응원하며 대기하는 모습에서도 그동안 함께 연습하며 쌓아온 시간이 고스란히 전해졌습니다 ❤️ 무대위에선 아이들의 당당하고 진지....... <img src="https://blogthumb.pstatic.net/MjAyNjAxMTFfMTY0/MDAxNzY4MTExOTM3NDY2.PzI0afVoGIEG8867KkNHjlwPt_3q6e5B3n4XRUFcTckg.yuk3nrTmTwgRVCMr_bGiEI2XcIV63eh6YhOkO32Cf0og.JPEG/output%A3%DF2401565412.jpg?type=s3" />
예랑피아노학원
1주 전
원주시 단계동
원주헤어학원에서 실제 시험 그대로! 메이저뷰티 원내 와인딩 대회 현장
안녕하세요. 메이저뷰티아카데미 원주헤어학원입니다. 오늘은 지난주 원내에서 진행된 헤어반 와인딩 대회 현장을 소개해 드리려고 합니다. 국가자격증 시험을 앞두고 실전 감각을 키우기 위해 마련된 자리였던 만큼, 현장 분위기부터 수강생들의 열정까지 고스란히 느낄 수 있었던 하루였습니다. 자세한 내용은 아래 포스팅을 통해 살펴보도록 하겠습니다. :-) 최근 메이저뷰티아카데미 원주헤어학원은 수강생들의 실전 감각 향상과 국가자격증 대비를 위해 메이저배 원내 와인딩 대회를 개최했습니다. 이번 대회는 10명 넘는 수강생들이 참여해 주셨으며, 평소 연습해 온 실력을 점검해 볼 수 있는 뜻깊은 시간이었답니다.:-) 대회 명칭처럼 이....... <img src="https://blogthumb.pstatic.net/MjAyNjAxMjBfMjc1/MDAxNzY4OTAwMjQ5MDE3.FiD6os0TiKV1VRUR_O43jO4R3_m0bnwglrv3R2xjEzIg.RJngJp4yIcevFQsLZoAMkHn4cwUzaOLmz9enmC2lyqQg.JPEG/KakaoTalk_20260115_170933218_02.jpg?type=s3" />
뷰티에듀-MBC아카데미뷰티학원
어제
원주시 단구동
(남원주초피아노학원) 마음모아카드 사용가능합니다
안녕하세요. 라움피아노학원입니다. 저희 학원에서는 ‘마음모아카드’ 사용이 가능합니다. 마음모아카드는 특수교육대상자의 치료지원 및 방과후 활동을 위해 강원도교육청에서 지원하는 특수교육지원 카드입니다. 라움피아노학원은 방과후 위탁기관으로 지정된 학원으로, 마음모아카드를 통해 수업 이용이 가능하오니 관련하여 궁금하신 점은 언제든지 학원으로 편하게 문의 주세요. <img src="https://blogthumb.pstatic.net/MjAyNjAxMjBfMjc2/MDAxNzY4ODkzODYzMjIx.nO3zMW2I0P_BzfCEs5U_W4iJ3eQp0Gt4d_3YwAeGXqQg.7An8mtZGewBD6-sOESCXa1CuOdklV22z8vbsKeldOCcg.PNG/900%A3%DF%C6%C4%B6%F5%BB%F6_%B1%CD%BF%A9%BF%EE_%C4%B3%B8%AF%C5%CD_%C0%CF%B7%AF%BD%BA%C6%AE_%B9%CE%BB%FD%C8%B8%BA%B9_%BC%D2%BA%F1%C4%ED%C6%F9_%BB%E7%BF%EB%B0%A1%B4%C9_%B8%C5%C0%E5_%BE%C8%B3%BB%B9%AE_%C0%CE%BD%BA%C5%B8%B1%D7%B7%A5_%C6%F7%BD%BA%C6%AE.png?type=s3" />
라움피아노학원
어제
원주시 명륜동
[채용공고] 샘마루초등학교_조리실무사
[채용공고] 샘마루초등학교 조리실무사 (기간제) 샘마루초등학교 공고 제2026-1호 조리실무사 (기간제) 채용 공고 샘마루초등학교에서 근무할 조리실무사(기간제) 채용을 아래와 같이 공고합니다. 2026. 1. 13. 샘마루초등학교장 1. 직종 및 모집인원 2. 응시자격 가. 응시연령: 만 18세이상 (면접 시 업무수행 가능 여부에 대한 적격 심사 후 채용) 나. 응시자격 1) 「강원특별자치도교육감 소속 교육공무직의 임용 등에 관한 조례 시행규칙」 제8조와 제19조의 규정에 의한 임용결격 사유에 해당되지 아니한 자 2) 「식품위생법」 제40조 및 같은 법 시행규칙 제49조 내지 제50조의 규정에 의한 건강진단 결과 이상이 없는 자 3) 공고일 현재 주....... <img src="https://blogthumb.pstatic.net/MjAyNjAxMTZfMTk3/MDAxNzY4NTc0ODc0MTY2.KaaJpyYOA1NT4NaucUIH4hN2JTDMMGEiSafrXBxgFeEg.BZv4nWCcJPqV4KCJLM4tHjQiyYKhvIu2YfTlY22TUlEg.PNG/-%BB%F9%B8%B6%B7%E7%C3%CA%B5%EE%C7%D0%B1%B3%C3%A4%BF%EB%B0%F8%B0%ED_20260116.png?type=s3" />
남원주요리학원
5일 전
원주시 단계동
리틀팍스어학원 동탄반송센터 오픈!
리틀팍스어학원 동탄반송센터를 소개합니다! 리틀팍스 동탄반송센터는 동탄 반송동 주거 지역과 가까워 아이의 일상 속에서 무리없이 오갈 수 있는 아시아프라자에 위치하여 도보와 차량 이용 모두 편리한 접근성을 갖추고 있습니다. 동탄반송 센터의 철학은 아래와 같답니다. 아이에게 영어가 부담이 아닌, 즐거운 언어가 되기를 바랍니다. 즐거움 위에서 아이는 마음을 열고, 배움은 자연스럽게 이어집니다. 리틀팍스어학원은 아이의 속도를 존중하며 충분히 말할 기회를 줍니다. 그 과정 속에서 아이는 스스로 성장할 힘을 키웁니다. 믿고 맡기실 수 있도록, 아이의 성장을 책임있게 함께하겠습니다. 원장님의 철학으로 아이들이 즐겁게 성장....... <img src="https://blogthumb.pstatic.net/MjAyNjAxMTJfMjkw/MDAxNzY4MTkyMTkwMDIw.TIlBBWVj9C5D3qrytUzoBJjXLk63zDCV7nxvODdWLjAg.c_1QXfvSTnYgrwHjYrko0tyGsQHY7Xh_eDNulb6yCuIg.PNG/image.png?type=s3" />
리틀팍스어학원
1주 전
학원 진도, 우리 아이에게 맞을까요?
YBM잉글루강원태장학원
지앤비영어쎈수학러닝센터학원태일캠퍼스
아소비원주태장학원
멘토링입시학원
태장루시드영어T&T수학학원
스마트해법수학태장1교습소
학원 말고, 요즘 대세는 따로 있어요!
리틀킹학원
현문현답학원