상세검색
수강연령
수강인원
수업 및 반 편성
시설 및 편의사항
수준
특목고 실적
34 개의 학원이 있습니다
최신 학원 소식
용인시 기흥구 보정동
이루재 국어·논술 | [합격수기] 서울대학교 김O안
서울대학교 정지외교학과 이루재학원은 국어라는 과목을 새로운 관점으로 바라보도록 도와주었던 학원입니다. 대부분 학생들이 비문학을 약점으로 생각하고 비문학 문제 풀이 훈련에 시간을 쏟는 것과 달리, 유정진 원장님은 문학 풀이 시간 단축의 중요성을 끊임없이 강조하셨습니다. 특히 어떤 상황이 오더라도 당황하지 않도록 효율적으로 문학 문제의 '동선'을 설정해 주셨습니다. 사실 저는 어떤 모의고사를 풀더라도 항상 시간이 남았기에 이 방법의 필요성을 잘 깨닫지 못하다가, 수능 날 1교시에 국어 시험지를 펼치자마자 '동선'의 중요성을 절감했습니다. 평소에 가뿐하게 풀고 넘어갔던 독서론 지문이 계속 튕기....... <img src="https://blogthumb.pstatic.net/MjAyNTEyMjFfOTIg/MDAxNzY2MzA1MzM1OTE1.HHbGMafKOsQf1xJD1uspY5fzpna7En4nJuFptWkIe3wg.lmahaeRKi5KbU5nnxFCrzsdXDip2XOqyzSszSNMm3rQg.JPEG/%B7%CE%B0%ED_%B4%D9%C5%A9%BA%ED%B7%E7.jpg?type=s3" />
이루재국어논술학원
6일 전
용인시 기흥구 구갈동
분당미술학원 | 2025 겨울특강 안내
예비 고1·고2·고3, 변화한 입시에 맞춘 실기력 성장의 출발점! 겨울방학은 단순한 '쉬는 시간'이 아닙니다. 씨앤씨 미술학원에서는 매년 이 시기를 입시 변화에 가장 빠르게 적응하고 성장할 수 있는 결정적 시기로 보고 있습니다. 2028학년도부터 적용되는 고교학점제, 내신 5등급제, 통합형 수능, 그리고 창의적 사고 중심의 평가 강화는 앞으로의 미대입시에서의 학생의 탐구력, 사고력, 표현력을 종합적으로 평가하겠다는 의미입니다. 그만큼 '어떻게 준비하느냐'가 합격의 방향을 결정하게 됩니다. 예비 고1 ─ 기초부터 제대로, '첫 단추'를 정확히 꿰기 중학교 과정을 마친 예비 고1은 이제 본격적으로....... <img src="https://blogthumb.pstatic.net/MjAyNTEyMTlfMjA3/MDAxNzY2MTI5NzAzMzMz.HCj5nIA-5Q1_65cZQdUl0aUH9w7ST-_kHH7NXNMKQDog.F166TbA0YzYkskrZlxiqO-m6K292czrxks1TlQpK9X4g.JPEG/%BA%D0%B4%E7%B9%CC%BC%FA%C7%D0%BF%F8_2025%BE%BE%BE%D8%BE%BE%B0%DC%BF%EF%C6%AF%B0%AD%BE%C8%B3%BB_%BD%E6%B3%D7%C0%CF.jpg?type=s3" />
용인기흥씨앤씨미술학원
4일 전
용인시 기흥구 구갈동
[용인미용학원] 크리스마스 선물 같은 합격 소식!!
여러분, 안녕하세요~! 아름다움과 뷰티 트렌드를 창조하는 교육 용인 아뜰리에뷰티아카데미입니다. 오늘은 크리스마스 선물처럼~ 저희 학생들이 합격소식을 들고 왔어요~ 열심히 준비해 준 덕분에 크리스마스 이브 날 선물처럼 합격 소식을 들고 와줬어요~ 모두가 합격을 했냐를 물어보시면 미용은 기술이기 때문에 연습을 충분히 해 준 학생들이 합격을 많이 해주었어요! 필기와 실기 두 가지 모두 원패스 해 준 학생까지 아주아주 고마워요 ㅜㅜㅜ 여러분들도 용인 아뜰리에와 함께 같이 준비해보시는거 어떠세요~? <img src="https://blogthumb.pstatic.net/MjAyNTEyMjRfMjIz/MDAxNzY2NTY1MjM1MzI5.HQcFRwlWyXngNdvdfHV1cS9vCQY-qq8ARlkyl_1vEisg.IK-6EAug8ckvtKjsoWpb1SB4WPSRAaGt1iEiOzQBE6gg.PNG/%BD%BA%C5%A9%B8%B0%BC%A6_2025-12-24_173147.png?type=s3" />
아뜰리에뷰티미용학원
3일 전
용인시 기흥구 구갈동
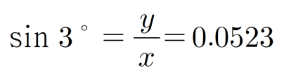
아르스타르코스와 삼각비 - 구갈동수학학원, 기흥구청수학학원, 구갈중, 신갈중, 신릉중, 기흥고, 신갈고, 수학학원
고대 그리스 사모스섬의 아리스타르코스(Aristarchos, B.C. 310?~B.C. 230?, 그리스의 천문학자)는 관측 자료를 근거로 우주를 설명하였다. 그는 행성의 운동은 지구가 아닌 태양이 우주의 중심에 있다고 가정할 때 더 정확하게 설명할 수 있다는 것을 지적했다. 이것은 코페르니쿠스(Copernicus, 1473~1543, 폴란드의 수학자, 천문학자)가 지동설을 주장하기 거의 2000년 전의 일이다. 행성 : 중심 별의 강한 인력으로 그 주위를 타원 궤도를 그리며 도는 천체 아라스타르코스는 아래 그림과 같이 지구와 태양 사이의 거리와 지구와 달 사이의 거리의 비를 구하는 방법을 알아냈다. 달이 반달 모양으로 보일 때, 지구와 달을 이은 직선과 달과 태....... <img src="https://blogthumb.pstatic.net/MjAyNTEyMjZfMjA2/MDAxNzY2NzMyMjg5ODY4.7b7X-6r2bekbO3RyMhMA5Rg3tOveEcL1wRiCM8WDGFAg.pQ6lb4soBdEZDIIF0JfjvLSgAHhrEaJQnFEc7fKXUqgg.PNG/20251226_155539.png?type=s3" />
멘토수학교습소
어제
용인시 기흥구 동백동
예비고1,2,3학년 겨울방학 수학특강 안내 _ 구갈동, 신갈동, 동백동, 중동, 상하동수학
안녕하세요 구갈동 수학학원, 신갈동 수학학원, 동백동 수학학원, 중동 수학학원, 상하동 수학학원 11월의로렐학원&11월의아침학원입니다. Since 2010 오늘은 1월 12일(월)부터 개강하는 [예비고1,2,3학년 수학 특강 일정] 에 대하여 알려드리도록 하겠습니다 겨울방학은 학생과 학부모 모두에게 설렘과 불안이 교차하는 시기입니다. 특히 수학은 지난 학기의 부족함을 채우고 다음 학년을 준비해야 하는 핵심 과목이기에, 짧은 방학을 어떻게 활용해야 할지 고민이 깊어집니다. 겨울방학은 성적 향상의 결정적인 전환점이 될 수 있는 기회의 시간이기 때문입니다. 이러한 고민 속에서 기흥구에서만 16년째 학원을 운영하고 있는 11월의로렐....... <img src="https://blogthumb.pstatic.net/MjAyNTEyMjZfMTEy/MDAxNzY2NzI5NDEyNTU4.qod1Vqx8oXobKJe3z27D5M9SeeMYu1_-dfjM_nak_3Qg.DOv8fnJZziCmiDtG47BDOEvlGqUgicKZlETfRWDmvTsg.PNG/image.png?type=s3" />
동백11월의로렐학원
어제
용인시 기흥구 구갈동
[용인미용학원] 크리스마스 선물 같은 합격 소식!!
여러분, 안녕하세요~! 아름다움과 뷰티 트렌드를 창조하는 교육 용인 아뜰리에뷰티아카데미입니다. 오늘은 크리스마스 선물처럼~ 저희 학생들이 합격소식을 들고 왔어요~ 열심히 준비해 준 덕분에 크리스마스 이브 날 선물처럼 합격 소식을 들고 와줬어요~ 모두가 합격을 했냐를 물어보시면 미용은 기술이기 때문에 연습을 충분히 해 준 학생들이 합격을 많이 해주었어요! 필기와 실기 두 가지 모두 원패스 해 준 학생까지 아주아주 고마워요 ㅜㅜㅜ 여러분들도 용인 아뜰리에와 함께 같이 준비해보시는거 어떠세요~? <img src="https://blogthumb.pstatic.net/MjAyNTEyMjRfMjIz/MDAxNzY2NTY1MjM1MzI5.HQcFRwlWyXngNdvdfHV1cS9vCQY-qq8ARlkyl_1vEisg.IK-6EAug8ckvtKjsoWpb1SB4WPSRAaGt1iEiOzQBE6gg.PNG/%BD%BA%C5%A9%B8%B0%BC%A6_2025-12-24_173147.png?type=s3" />
용인J뷰티미용학원
3일 전
용인시 기흥구 마북동
[리드인 마북점] 마북초 겨울방학, 매일 아침 독서로 하루를 여는 특별한 8주 특강
겨울방학이 시작되면 아이가 늦게 자고 늦게 일어나서 하루가 금방 흘러가 버리곤 해요. 그래서 많은 부모님들이 겨울방학특강을 찾으시면서 “아침 시간을 알차게 보낼 수 있는 곳이면 좋겠어요” 하고 말씀하세요. 리드인 마북점에서는 이번 겨울방학에 아이들의 하루를 깨우는 〈매일 아침 독서 특강〉을 준비했어요. 마북동 인근에서 독서논술을 고민하신다면 꼭 한 번 살펴보셨으면 해요. 마북동 겨울방학특강, 이렇게 진행돼요! • 기간 : 2026년 1월 5일 ~ 2월 26일 • 구성 : 1월 4주, 2월 4주 (원하는 달만 선택도 가능해요) • 시간 : 오전 10:30 ~ 12:00 (90분) • 요일 : 아래 달력 참고 아침마다 학원에 나와 책을 읽고 정리하는 루....... <img src="https://blogthumb.pstatic.net/MjAyNTEyMTRfMTAw/MDAxNzY1NzA5OTQ4ODI5.xr1QSIAHDuupGZQ40iz_i4KKaYELCZXwJi7tpxRKXA0g.14LW0YHshg_QGJMlxUrAbqmolpcrpRbcBz7CJsYPwpog.JPEG/26%B3%E2%B0%DC%BF%EF%B9%E6%C7%D0%C6%AF%B0%AD%A3%DF%B8%C5%C0%CF%A3%AD%BE%C6%C4%A7%A3%AD%B6%C8%BC%AD%A3%AD011_%A3%A82%A3%A9.jpg?type=s3" />
리드인마북점독서논술교습소
2025.12.14
용인시 기흥구 마북동
2025~26 바로학원 겨울방학 학사&수업시간&
<img src="https://blogthumb.pstatic.net/MjAyNTEyMDFfNDYg/MDAxNzY0NTkwNjU3OTc4.JgPUJxYOpjwSsVK_ugneA1Ivo7lwbdO_hB8c5APXwngg.iGvzm868XKHp0w2xrCWtkNuRdECWLd54BaLubXYeU7Ag.JPEG/%BA%ED%B7%CE%B1%D7_2025_%B0%DC%BF%EF%B9%E6%C7%D0_%B0%A1%C1%A4%C5%EB%BD%C5%B9%AE_%BF%B9%BA%F1%C3%CA6_%28%C7%F6%C3%CA5%29.jpg?type=s3" />
바로학원
2025.12.01
용인시 기흥구 언남동
12월의 언남학원
12월 일정도 확인하시고~ 12월 크리스마스 파티도 잊지 마세요~ 2학기를 마무리하는 총괄평가와 전국 써밋 수학 회원들이 수학 실력으로 선의의 경쟁을 하는 수학 리그전, 리그오브매스도 접수받아요~ 12월도 열심히 공부하고~ 즐겁게 놀고~ 내년을 준비하는 언남학원이 되겠습니다 #언동초학원 #구성초학원 #구성학원 #언남학원 #눈높이러닝센터 #눈높이학원 #구성초학원추천 #우리동네학원추천 #언남동학원추천 #언남동학원 #언동초학원추천 #수학학원 #국어학원 #영어학원 #초등학원 #학원추천 #언동초 #구성초 #언동중 #언동중수학 #언동중국어 #언동중영어 #언동중내신 #언동중시험 #언남동초등학원 #중학수학 #언동중족보 #언남동맛집 #공....... <img src="https://blogthumb.pstatic.net/MjAyNTEyMDRfMjEg/MDAxNzY0ODI1MjQxODA2.p_xQIHC5TzZnyYC0QO91QLrYPfzez3N72AzNr-I1hjMg.vWT05J2-RBOtfNes2z-TOcsw4_n7oPs0S7_CORqeBqog.PNG/%BD%BD%B6%F3%C0%CC%B5%E59.PNG?type=s3" />
눈높이러닝센터언남학원
2025.12.04
용인시 기흥구 보정동
용인 미술학원/보정동 미술학원/듀미술 겨울방학 안내
12월 5주차는 듀미술 겨울방학입니다. 방학 중 전화 상담 및 모든 문의 응대가 어렵습니다. 방학이 끝난 후 순차적으로 연락드리도록 하겠습니다. 감사합니다^^ <img src="https://blogthumb.pstatic.net/MjAyNTEyMDJfMSAg/MDAxNzY0NjQ3MjkwNTE3.fDEF7BeyNOK05ycAjlMuHDge99Ieeh9tO34Z_ZHwZuUg.x8Da5b9ODy7lluQAIKKj6lW6u1gdgsVIYmR-6gWQWj0g.JPEG/%C1%A6%B8%F1%C0%BB_%C0%D4%B7%C2%C7%CF%BC%BC%BF%E4_%2822%29.jpg?type=s3" />
듀미술학원
2025.12.04
용인시 기흥구 보정동
초등 영어, 집에서도 이어지는 방법
캔비어학원 재원생의 실제 후기를 바탕으로 작성되었습니다. 초등 영어 학습에서 가장 어려운 점은 학원 수업을 집까지 어떻게 이어가느냐입니다. 캔비어학원을 꾸준히 다니는 아이들이 영어 실력을 안정적으로 쌓아가는 이유, 그 중심에는 캔비 스마트러닝 READI가 있습니다. 집에서도 영어가 이어지는 이유, READI “바로 집에서도 자연스럽게 이어지는 READI 덕분이에요.” 캔비 재원생 학부모님의 실제 후기처럼 READI는 학원에서 끝나는 영어가 아니라 집에서도 아이 스스로 이어가는 영어 학습 루틴을 만들어줍니다. 교재 숙제처럼 부담스럽지 않고 앱을 켜는 순간 자연스럽게 영어 학습이 시작되기 때문에 아이들이 안 시켜도 먼저 찾는 영....... <img src="https://blogthumb.pstatic.net/MjAyNTEyMTdfMjky/MDAxNzY1OTU3MjM5OTgx.lIKJ316j8I91Kz1_3lX7bskuK6atJyGxnAF4lUgdqQMg.9EETEYVf2FjOQYj28bZAU-udSbNUJ4nmi-SRzacv7Dkg.PNG/1.png?type=s3" />
죽전캔비어학원
1주 전
용인시 기흥구 보정동
니체가 말한 인간의 3단 진화: 『차라투스트라는 이렇게 말했다』로 보는 인간 성장의 진짜 구조 - 보정동 영어학원 원셀영어의 지식 이야기
안녕하세요, 보정동 영어학원 원셀영어 입니다. 니체의 저서 차라투스트라는 이렇게 말했다를 읽다 보면 흔히 ‘인간의 3단 진화’라고 불리는 개념을 만나게 됩니다. 정확히 말하면 이는 ‘정신의 세 가지 변형’에 대한 이야기입니다. 이 개념의 핵심은 단순합니다. 인간이 어떻게 기존의 가치에서 벗어나 온전한 자기 자신으로 살아가게 되는가, 그 과정을 세 단계로 설명하는 것이죠. 이 이야기는 특정 시대나 현대 사회에만 국한된 개념이 아닙니다. 지금 열심히 공부하고 있는 학생이든, 이미 사회적·경제적 성공을 이루고 은퇴한 사람이든 누구나 한 번쯤은 겪게 되는 인간 본연의 성장통에 가깝습니다. 오늘은 니체가 말한 인간 정신의 세....... <img src="https://blogthumb.pstatic.net/MjAyNTEyMjZfMTY5/MDAxNzY2NzMxNTI1MTEy.mMusUNeSR9ujWOSvpu5ZGvToarLNzvjHcvQ16vlgswQg.UJ0NTqUr-76n_4Q-2O3zC80Jl7np4w8UeuZAaq8Rso4g.JPEG/674710-HSC00001-8.jpg?type=s3" />
원셀영어학원
어제
용인시 기흥구 언남동
위드진영어의 크리스마스
위드진영어의 세번째 크리스마스 우리 아이들을 위해 깜짝 선물을 준비했어요. 준비하는 과정부터 즐거웠던 시간이었답니다. 아이들에게 나누어줄 선물이 도착했고 하나씩 하나씩 마음을 담아 포장했어요. 이번 크리스마스도 부디 따스하게 보내길 포장하면서 이런 생각이 들었어요. 분명 학원 입장에서는 지출이 생긴거지만 이것으로 인해 정말 많은 아이들이 잠깐이나마 순간 기쁨이 생긴다면 그만큼 행복한 일이 있을까 종류가 달랐기에 랜덤으로 선물 고르기 저마다 다른 수면양말을 받았기 때문에 ‘내건 뭘까?‘ 하며 풀어보는 재미도 있었어요. 인증샷도 귀엽게 찍어주고 그렇게 잠시나마 웃었습니다. 그리고 해야할 건 해야....... <img src="https://blogthumb.pstatic.net/MjAyNTEyMjVfMTQ3/MDAxNzY2NjIyNjYyNTMz.xRnnTe0TyhW7gQjDjubMFhyBsTkz8M2vPA2TFZTC8Wkg.fkSz3P71LhDzY-7r8plzG5PbIaEYFeDXlN3bcm5Zb5wg.JPEG/IMG%A3%DF3498.jpg?type=s3" />
진영어교습소
2일 전
용인시 기흥구 보정동
분당수학학원 분당파인만 │ 2026 대입 수시 합격현황
분당파인만학원 2026 대입 수시 합격현황 연말이 다가오면 학부모님들께서 가장 궁금해하시는 소식, 바로 대입 합격 결과일 텐데요 오늘은 분당파인만학원 고등부 / SKY대입센터의 2026학년도 대입 수시 합격 현황을 전해드립니다. 화려한 숫자보다, 한 명 한 명의 과정을 소중히 쌓아온 결과이기에 조심스럽지만 감사한 마음으로 공유드립니다. 2026 대입 수시 합격 핵심 요약 ✨ 의예·한의예·약학 계열 총 8명 합격 학업 역량은 물론 학생부 기반의 꾸준한 학습 관리와 전공 적합성 준비가 함께 만들어낸 결과입니다. 주요 대학 합격 현황 서울대학교 : 3명 연세대학교 : 7명 고려대학교 : 5명 서강대학교 : 2명....... <img src="https://blogthumb.pstatic.net/MjAyNTEyMjRfMTAy/MDAxNzY2NTc4MzYyMDgy.p8Oehmz6K8udj0UeMA--KXLRN0nJIdVKl4mXmo1-Vmgg.cM_JrW5OzY1L5DOkOV5-c2Wg4KO2s84BpCuOh1yH1bwg.PNG/%C1%A6%B8%F1%C0%BB_%C0%D4%B7%C2%C7%D8%C1%D6%BC%BC%BF%E4_-002_%2813%29.png?type=s3" />
파인만학원
3일 전
용인시 기흥구 보정동
딕테이션 독해 13 (41-50번)
딕테이션 독해 13 (41-50번) #보정동영어학원 #죽전동영어학원 #용인영어학원 #보정고영어 #대지고영어 #죽전고영어 #구성고영어 #신촌중영어 #죽전중영어 #대지중영어 #구성중영어 #언동중영어 #현암중영어 #여름방학특강 #여름특강 #영어여름특강 #보정동중등영어 #보정동고등영어 #죽전동중등영어 #죽전동고등영어 #기말고사 #내신대비 #수능영어 #올리브입시영어
올리브입시영어학원
3일 전
학원 진도, 우리 아이에게 맞을까요?
토브영어교습소
와이비엠잉글루용인흥덕학원
흥덕점와와학습코칭학원
윤선생우리집용인흥덕학원
더블유영어수학학원
A-Class(에이클래스)영어전문학원
학원 말고, 요즘 대세는 따로 있어요!
파머스영어학원
샤인영어전문학원