상세검색
수강연령
수강인원
수업 및 반 편성
시설 및 편의사항
수준
특목고 실적
816 개의 학원이 있습니다
최신 학원 소식
수원시 장안구 정자동
수원 정자동 중심상가 독서실. 스터디카페[스파티움]: 겨울방학 이용후기3
수원 정자동 중심상가 독서실. 스터디카페[스파티움]: 겨울방학이벤트 겨울방학 따뜻하게 공부하기 ■ 스파티움은 바닥이 온돌로~ 공부할때 발이 편하니 집중이 잘되고 먼지 걱정도 안해도 되니 좋아용 수원 정자동 중심상가 독서실. 스터디카페[스파티움]: 겨울방학이벤트 ■ 난방은 열람실 별로 개별 난방~ 추우면 난방키고. 더우면 끄고 열람생이 직접 자유롭게 데스크에 있는 리모컨 사용하시면 끝 수원 정자동 중심상가 독서실. 스터디카페[스파티움]: 겨울방학이벤트 수원 정자동 중심상가 독서실. 스터디카페[스파티움]: 겨울방학이벤트 수원 정자동 중심상가 독서실. 스터디카페[스파티움]: 겨울방학이벤트 <img src="https://blogthumb.pstatic.net/MjAyNjAyMDlfMTk1/MDAxNzcwNjIyOTIyNTY2.4hDcWRfXQgwog_UNI3cfRkgWxPDTsTuVJ6vrWkH9eSQg.8KmgMv8nRfpGnWyIajChLsOvaf4jf8kpBUvUojEblacg.PNG/900%A3%DF%BD%BA%C6%C4%C6%BC%BF%F2%A3%DFS.C%B4%C2%A3%DF%B3%AA%B8%B8%C0%C7%A3%DF%C8%DE%BD%C4%B0%F8%B0%A3%C0%D4%B4%CF%B4%D9.%A3%DF20251223%A3%DF150602%A3%DF0000.png?type=s3" />
스파티움독서실
2일 전
수원시 장안구 천천동
"터치금요특강"
어둠 속의 불빛 – 터치만의 음악 이론 특강 터치음악학원의 이론 수업은 외워야 하는 공부가 아니라 활동으로 이해하는 수업입니다. 이번 금요일 특강의 제목은 〈어둠 속의 불빛〉. 불을 끈 교실, 카드는 그냥 보면 아무것도 보이지 않습니다. 하지만 카드 뒤에서 후레쉬 불빛을 비추는 순간, 음표가 하나씩 드러나기 시작해요. 아이들은 팀을 이루어 후레쉬를 비추고, 음표를 찾고, ✔️ 음표 이름 ✔️ 음표 모양 ✔️ 음표 박자 를 서로 맞추며 협동합니다. 혼자서는 어려운 과제도 팀이 함께 머리를 맞추면 해결할 수 있다는 것, 그리고 음악 이론은 함께 생각하고 연결할 때 더 재미있어진다는 것을 아이들이 자연스럽게 경험하....... <img src="https://blogthumb.pstatic.net/MjAyNjAxMjhfMTY5/MDAxNzY5NTg1OTcyMDM2.lPK3h5T27W1Ztu_N32NYIRKXs8GYoMU6R75V--UQIG4g.wuvR0Jh-FVLzSf1xNUIVReu70lD7WiJD3Tuf2kMvWSsg.JPEG/900%A3%DF1769585970955.jpg?type=s3" />
터치음악학원
2026.01.28
수원시 장안구 조원동
[조원동 영어학원] 에이닷영어학원 독해특강 수강후기(6)
안녕하세요! 에이닷영어학원 수원조원점입니다!! '방법'을 몰라서 수능 영어 독해가 막막한 친구들, 그리고 학부모님! 지문을 다 읽지 않아도 맞히는 전략, 에이닷은 이미 준비되어 있습니다! 내신만이 아니라 수능까지, 제대로 잡아드릴게요 ✅ "에이닷에서는 1:1 수업을 기반으로 맞춤형 학습이 진행됩니다!" 원래 모의고사를 못보고 어떻게 하는지도 몰랐는데 체계적인 독해특강으로 문제 접근법에 대해서 배워서 1주마다 5등급, 4등급, 3등급으로 차례대로 모의고사 점수가 올라서 효과가 있는거 같습니다. 앞으로 정진하겠습니다. 에이닷 수원조원점에서는 '일방적 수업'으로만 진행되지 않고, 학....... <img src="https://blogthumb.pstatic.net/MjAyNjAxMzBfMTky/MDAxNzY5NzUxMzIzNzYy.7FtevHTjb96OWPHOa084ulbPJa3veZDA5RmkBm_Dh-cg.Zvhjdbax8ofH2c5XQQ5I7Rgw8pLQ15QfuHSrg14-aA0g.PNG/image.png?type=s3" />
수원조원에이닷영어학원
2026.01.30
수원시 장안구 정자동
2026.02.07 DYB 송오현의 ‘SONGS Nifty Fifty’ [06] : ‘농구 황제’, 에어 조던!, ‘역대 최고의 선수’란 무엇인가?
모바일로 보시는 분들은 하단으로 내려주시기 바랍니다. > 인쇄용은 상단 첨부파일을 다운로드하시기 바랍니다. > 댓글을 쓴 후, 하단 내 글 보관하기에 들어가서 보관해주세요. "SONGS Nifty Fifty for Song's Class" *학생용 글 입니다 -모바일- 2026.02.07 DYB 송오현의 ‘SONGS Nifty Fifty’ [06] ‘농구 황제’, 에어 조던(Air Jordan)!, ‘역대 최고의 선수(Greatest Of All Time)’란 무엇인가? [시작하며] 전무후무, 역대 가장 뛰어난 사람! 어떤 영역에서든지, 전무후무(前無後無)라는 말이 있습니다. 공부든, 스포츠든, 재력이든, 군사력이든, 정말로 전에도 없었고 후에도 없을 최고의 인물이나 최고의 그....... <img src="https://blogthumb.pstatic.net/MjAyNjAyMDZfMTQw/MDAxNzcwMzA3MjkyNjgz.-tRxWN-KwdLBg_tSd5cD-Sxa41qJbmCnQSes3gNucMUg.AtUZSbLRur9SKheYahkxtPMzMdfo4sOX_Wl_Z8_aDsAg.JPEG/20260207_%B8%B6%C0%CC%C5%AC_%C1%B6%B4%F8_compressed_1.jpg?type=s3" />
수원디와이비최선어학원
4일 전
수원시 장안구 천천동
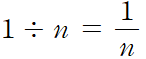
초등 6학년 1학기 1단원 분수의 나눗셈
6 - 1(22개정) 분수의 나눗셈 각기둥과 각뿔 소수의 나눗셈 비와 비율 여러 가지 그래프 직육면체의 겉넓이와 부피 초등학교 6학년 1학기 수학의 첫 관문인 '분수의 나눗셈'은 학생들이 수학을 포기하고 싶어지는 첫 번째 고비이기도 합니다. 단순히 "분모와 분자를 바꿔서 곱해"라고 가르치기보다, 원리를 시각적으로 이해시키는 것이 핵심입니다. 1. 자연수 ÷ 자연수 (결과가 분수) 가장 먼저 '나눗셈의 몫을 분수로 나타내는 법'을 익혀야 합니다. 핵심 개념: 알기 교구 활용: 피자 1판을 5명이서 똑같이 나누는 상황을 보여주세요. 확장 : 피자 7 개를 6 명이 나누어 먹는 것은 ? 1/6 이 7개 있는 것과 같으므....... <img src="https://blogthumb.pstatic.net/MjAyNjAyMDZfMTAw/MDAxNzcwMzU2ODUxMTI4.GV5HvR-yIko3sOsXZG4VhhriiPc3ChKOrcFZyMxjvr8g.9ltZ5yZStj-LJocmuk06lx_LlbOgNxXhG5Ztvbgzv6kg.PNG/image.png?type=s3" />
빨간펜수학의달인천일수학교습소
4일 전
수원시 장안구 송죽동
퇴근 후 분필 놀이 (with 하고로모와 크레욜라)
칠판지우개 패드를 구입하러 온라인 쇼핑몰에 들렀습니다. 분필, 왜 이렇게 욕심이 나는지요. 분필이 이렇게나 많은데 말이지요. 종이박스에 들어있던 것들을 꺼내서 옮겨 담았습니다. 크레욜라 분필, 하고로모 분필, 그리고 예전에 가죽 칠판지우개 브랜드 클리니에서 판매하던 분필도 몇 개 가지고 있습니다. 붉은색 계열을 많이 사용하고, 노랑과 푸른색 계열이 많이 남았습니다. 하나씩 써 보았습니다. 제일 좋아하는 크레욜라 갈색은 한 개 남았네요. 번갈아 써보니 하고로모는 입자가 굵고, 크레욜라는 작은 게 느껴집니다. 얇은 심의 볼펜을 좋아하는 저는, 크레욜라가 좀 더 예쁘게 써지는 것 같아요. 그래도 아이들 눈에 잘 띄는 하고로....... <img src="https://blogthumb.pstatic.net/MjAyNjAyMDRfMTEw/MDAxNzcwMjE2NDkwODQz.wb15cR39A98x_sZ05IdcVd7HlxEondr-fqaF_DB8KaMg.L9aDM9UxfTKYwERCilxjFOkN1haOOK2Y0VKY9IRuGMUg.JPEG/output%A3%DF3183165769.jpg?type=s3" />
학교밖교실학원
6일 전
수원시 장안구 천천동
2025년 하반기, 노력의 시간이 결실로 이어졌습니다파머스메타국제어학원 Best Output Awards & META Reading King 발표
안녕하세요. 파머스메타국제어학원입니다. 아이들의 성장은 시험 점수 한 번으로 평가할 수 없습니다. 매일의 작은 습관, 반복되는 연습, 그리고 포기하지 않는 꾸준함이 쌓일 때 비로소 눈에 보이는 변화가 만들어집니다. 2025년 하반기 동안 파머스메타국제어학원에서는 아이들이 영어를 외우는 공부가 아니라, 이해하고 표현하며 스스로 성장하는 학습을 경험할 수 있도록 지도해 왔습니다. 그 노력의 결과로 이번 하반기 Best Output Awards(발표왕)와 META Reading King(다독왕) 수상자가 최종 선정되었습니다. 영어는 ‘입 밖으로 나올 때’ 실력이 됩니다 많은 학생들이 영어를 오래 공부하지만 막상 말하거나 발표해야 하는 상황에서는 어....... <img src="https://blogthumb.pstatic.net/MjAyNjAyMDlfMjAg/MDAxNzcwNjI5MDcyNzEy.11U7TfOjmgrDh33YpEnNP6zlb4Pu1qcOHUnhzV5QpHsg.MZQsAH92dUtALJh2a2iRhdcmSiCsxPvPxsBsomYwoEMg.JPEG/2025-%C7%CF%B9%DD%B1%E2-%BE%C6%BF%F4%C7%B2_%B8%AE%B5%F9%C5%B7-%BC%F6%BB%F3%C0%DA-%C6%F7%BD%BA%C5%CD-001.jpg?type=s3" />
파머스메타국제어학원
2일 전
수원시 장안구 정자동
수원정자동피아노) 예비 5학년 단소 특강 : 맑은음음악학원
안녕하세요~ 실력과 정성으로 지도하는 맑은음음악학원입니다~ ^^ 겨울 방학이 너~무 길다.... 생각했던 것이 엊그제인데요, 벌써 다음주 설 연휴 지나면 곧 개학입니다~ ^^;; 겨울 방학에는 예비 5학년들이 단소 예습을 하는데요, 정간보 보는 방법과 기본 운지를 연습하고 소리 내는 연습으로 단소를 미리 경험해봅니다~ 소리가 잘 나는 위치와 입술 모양을 연습하기 위해 연습 도우미 거울을 샀는데요, 2배로 커 보인다는 거울이 연습할 때 더 좋을 것 같아 평범한 거울과 함께 구입해서 사용해보니 각도 조절도 되고, 크게 잘 보입니다~ ^^ 아직은 소리 10%, 공기 90% 이지만 꿈동이들 단소 연주 실력이 분명히 좋아지고 있습니다~ ^^ #수원....... <img src="https://blogthumb.pstatic.net/MjAyNjAyMDlfMTQ1/MDAxNzcwNjQ4OTgwNjA0.wPIz1jiMf7cWcJVHelOLkklMfYMXrwBZG2LvTQV2GHMg.BxZnPB7_GXtQwhlFIzxaI0Q0OA35oRyTfUUXT_usEzIg.JPEG/KakaoTalk_20260209_235506668.jpg?type=s3" />
맑은음음악학원
어제
수원시 장안구 정자동
화서역 / 정자동 영어학원, LA의 한 주! (영어원서 읽기)
정자동 영어학원 LA잉글리쉬 아카데미 영어 원서 읽기, 왜 꼭 필요할까? 영어 학습을 하면서 많은 학생들과 학부모님들이 "문법, 단어만 열심히 하면 되지 않을까요?" 라고 질문하곤 합니다. 하지만 실제 언어는 시험 문제가 아니라 문장 흐름, 표현 방식, 상황 속 의미 이해가 훨씬 중요합니다. 영어 원서는 단순히 영어를 읽는 것을 넘어, 자연스러운 문장 구조와 실제 원어민이 사용하는 표현을 몸에 익히게 해줍니다. 특히 영어학원에서 배우는 문법과 단어를 실제 문장 속에서 만나게 되면 기억 지속력도 훨씬 높아집니다. 또한 영어 원서 읽기는 영어 실력뿐 아니라 사고력 향상에도 큰 도움을 줍니다. 스토리를 따라가며 인물의....... <img src="https://blogthumb.pstatic.net/MjAyNjAyMDNfMjQz/MDAxNzcwMTAwNjA0NzU1.YSDmzE2mEmQiLlA5CXzFUCZ0xRNcN5Ihnb9H-ZmGOnUg.6i16zGhIU8-86rrHS-JAvuvThrWlbKoH2jVUSIzGpXEg.PNG/image.png?type=s3" />
엘에이(LA)영어전문학원
1주 전
수원시 장안구 조원동
<이안의 특별한 모험> 신아미 작가, 2020·2023에 이어 2026 볼로냐 아동도서전 '올해의 일러스트레이터' 선정
그림책을 좋아하는 분들이라면 반가운 소식 하나 전해드릴게요. 대교 오늘책에서 출간된 그림책 〈이안의 특별한 모험>의 그림을 그린 신아미 작가가 2020·2023에 이어 2026 볼로냐 아동도서전 ‘올해의 일러스트레이터 (2026 Winning Illustrators)’ 최종 75인에 선정되었습니다. 이번 소식은 단순한 수상 소식을 넘어, 국내외 독자들의 큰 사랑을 받는 한국 작가가 세계적으로 영향력이 큰 아동도서 무대 중 하나에서 공식적으로 주목받았다는 점에서 의미가 더욱 크게 느껴져요. 볼로냐 아동 도서전은 1963년부터 이탈리아 볼로냐에서 매년 열리는 세계 최대 규모의 아동도서 전문 박람회로, 전 세계 출판 관계자와 작가, 일러스트레이터....... <img src="https://blogthumb.pstatic.net/MjAyNjAyMDZfMTUx/MDAxNzcwMzQ2MDA3NTE4.G8T5nvhNzY09if_Ut-REOVo70pP2v_y8HISgHGO4nMEg.9ZFw5AIMUIe-WLIArGcrdOH1IXjdu4CU7pXo8aj0RqMg.JPEG/0.jpg?type=s3" />
눈높이러닝센터조원학원
2일 전
수원시 장안구 천천동
아직도 '정답'만 찾으세요? 2032년, 대학은 '과정'을 봅니다.
최근 교육계의 가장 뜨거운 화두는 단연 2032학년도 대입 개편이에요. 아직 멀게만 느껴지시나요? 하지만 현재 초등 고학년 자녀를 둔 학부모님들이라면 지금 당장 주목해야 할 '룰의 변화'가 시작되었습니다. 과연 무엇이 달라지고, 우리 아이는 초등 시절을 어떻게 보내야 할까요? 대교 눈높이 전략가와 함께 핵심만 짚어보아요! 1. '결과'가 아닌 '과정'을 보는 평가의 시대 2032 대입 개편의 핵심은 한마디로 ‘점수 중심’에서 ‘과정 중심’으로의 대전환이에요. 기존에는 단편적인 지필고사 성적으로 아이들을 한 줄로 세웠다면, 이제는 아이가 어떤 과정을 거쳐 학습했는지, 그 사고의 깊이를 측정하는 데....... <img src="https://blogthumb.pstatic.net/MjAyNjAyMDNfMTA2/MDAxNzcwMDgzMTA4MjIy.6GsSNEhj1W6xmrE-SEOcaJ8OAeN1HYoq0pvYHKh50igg.DK-i3fWjmthBLCpOWNS2rifALimnMBo6PqGYZZs9XgQg.PNG/Gemini_Generated_Image_sq5jbdsq5jbdsq5j.png?type=s3" />
눈높이베스트천천학원
1주 전
수원시 장안구 조원동
1대1 개별관리, 조원동 초중고 종합학원, 만족도 높은 이유
공부 이야기를 꺼내면 괜히 어깨가 움츠러들고, 문제집만 펴면 머리가 멍~해지는 학생들 많지요. “열심히는 하는데 왜 성적이 안 오를까요?” 이 질문, 정말 많이 듣습니다. 사실 공부가 어려운 게 아니라 나에게 맞지 않는 방법으로 하고 있어서 그럴 때가 많아요. 그래서 오늘은 학생들 눈높이에서, 왜 조원동 초중고 종합학원이 만족도가 높은지 차근차근 이야기해 보려고 합니다. 1대1 개별관리, 내 공부 속도에 딱 맞게 쏙쏙 교실에서 수업을 듣다 보면 “어? 방금 뭐라고 하셨지?” 하고 멍—해질 때 있지요. 이럴 때 질문 못 하고 그냥 넘어가면 이해는 흐릿~해지고, 공부는 점점 싫어집니다. 조원동 초중고 종합학원의 1대1 개별관리는....... <img src="https://blogthumb.pstatic.net/MjAyNjAyMDVfMTI4/MDAxNzcwMjYyMjE3MDM3.Aq898dP-17-r10BwEdj0pWr8hKJhFmd5g3-OybMMo4Ag.-d21tqTGTvnfq5EtKF3qfbC5eyrAVTG13BZBky1oQcwg.PNG/image.png?type=s3" />
더배움터학원
6일 전
수원시 장안구 정자동
<이안의 특별한 모험> 신아미 작가, 2020·2023에 이어 2026 볼로냐 아동도서전 '올해의 일러스트레이터' 선정
그림책을 좋아하는 분들이라면 반가운 소식 하나 전해드릴게요. 대교 오늘책에서 출간된 그림책 〈이안의 특별한 모험>의 그림을 그린 신아미 작가가 2020·2023에 이어 2026 볼로냐 아동도서전 ‘올해의 일러스트레이터 (2026 Winning Illustrators)’ 최종 75인에 선정되었습니다. 이번 소식은 단순한 수상 소식을 넘어, 국내외 독자들의 큰 사랑을 받는 한국 작가가 세계적으로 영향력이 큰 아동도서 무대 중 하나에서 공식적으로 주목받았다는 점에서 의미가 더욱 크게 느껴져요. 볼로냐 아동 도서전은 1963년부터 이탈리아 볼로냐에서 매년 열리는 세계 최대 규모의 아동도서 전문 박람회로, 전 세계 출판 관계자와 작가, 일러스트레이터....... <img src="https://blogthumb.pstatic.net/MjAyNjAyMDZfMTUx/MDAxNzcwMzQ2MDA3NTE4.G8T5nvhNzY09if_Ut-REOVo70pP2v_y8HISgHGO4nMEg.9ZFw5AIMUIe-WLIArGcrdOH1IXjdu4CU7pXo8aj0RqMg.JPEG/0.jpg?type=s3" />
눈높이정자명인학원
2일 전
수원시 장안구 조원동
첫 앨범 발매!
저의 첫 가스펠앨범 '가장 낮은 태양, 가장 찬란한 소망'이 발매되었습니다! 하단에 기재된 재생목록(저음질)과 각종 음원사이트(고음질)에서 감상 가능합니다! 많은 관심 부탁드립니다! https://youtube.com/playlist?list=PL7GRCQelrxD474CNI0SK-yqklw2WnwbSN&si=LyXpmGRctsE2IF6- 앨범소개 가스펠 기타리스트 나일론워십의 앨범 <가장 낮은 태양, 가장 찬란한 소망> "소망은 높지 않습니다" 스스로 낮아져 우리와 눈을 맞춘 '가장 낮은 태양'을 향한 찬가 인간의 마음속에는 '소망'에 대한 갈망이 있는 듯합니다. 한 해가 저물고 새해가 밝을 때면 바다를 찾아가, 어둠이 물러가....... <img src="https://blogthumb.pstatic.net/MjAyNjAyMDZfMjU3/MDAxNzcwMzcwNTU2OTcy.y-vykfgX0fPTyEdWs5aalHvxf9nw2K_2_bM-9Ynme80g.56mC4Cef0hTMLYlp3jC9Aqz-_zqP7Om73JbUIMK86Dsg.JPEG/900%A3%DFHeaven_Tropical_Music_Album_Cover_Art%A3%DF20251207%A3%DF165654%A3%DF0000.jpg?type=s3" />
한예종기타교습소
5일 전
수원시 장안구 영화동
수원 드림실용음악학원 2026년 입시 결과입니다.^^
❤️ "2026년도 입시가 마무리되었습니다." ❤️ 이번 입시는 유독 많은 일들이 있었던거 같습니다 하지만 끝까지 끈기와 희망을 포기하지 않고 여기까지 달려와준 모든 입시생들...!! 진심으로 고생 많으셨고 진심으로 응원의 박수를 보냅니다 !!! 앞으로의 여정도 우리 드림이 함께 가겠습니다 !! 여러분들 모두 축하하고 정말 고생 많이 하셨습니다 ~~! ^^ 정사랑(고3, 베이스) - 호원대 정시합격 최민건(고3, 보컬) - 명지전문대 정시합격 이석준(고3, 기타) - 백석예대 정시합격 이지민(고3, 미디) - 호서대 수시합격 이신우(고3, 기타) - 협성대 정시합격 #수원실용음악학원 #수원보컬학원 #수원기타학원 #수원....... <img src="https://blogthumb.pstatic.net/MjAyNjAyMDJfMjgg/MDAxNzcwMDI1NzU5NDE0.Cm_UH7xkCEn8hy-aMZaKBv9rBZ1CxSmKwc8v3isY_0sg.oVbAjxl6c7anKEpnXn1fk8V81OwxzjQlPX9eFM8WkgMg.JPEG/logo1.jpg?type=s3" />
드림실용음악학원
1주 전
학원 진도, 우리 아이에게 맞을까요?
수원디와이비최선어학원
이룸학원
장안청운학원
수원장안에이닷영어학원
수원장안분원정상어학원
정자동목우미술학원
학원 말고, 요즘 대세는 따로 있어요!
뉴영통서울학원
삼점일사고등수학전문관학원