상세검색
수강연령
수강인원
수업 및 반 편성
시설 및 편의사항
수준
특목고 실적
0 개의 학원이 있습니다
최신 학원 소식
천안시 동남구 원성동
[천안 중앙고 예비고1, 고2, 고3 겨울학기]
블로그 설명을 따라가시면 됩니다. 1. 예비고1 안내 https://naver.me/G8hJyZdQ 2. 예비고2 안내 https://naver.me/FHV9rnMm 3. 예비고3 안내 https://naver.me/5ix7r6Rg
중앙에듀학원
2025.11.30
구리시 토평동
[초등부/방학특강] 한국사 마스터(4~6학년)
[특강 1] (초등) 한국사 마스터 - 일정 : 12/22~2/27 / 총 28회기 - 요일 및 시간 : (A반) 매주 월,수,금 오전 10시 ~11시 30분(90분) / 28회기 : (B반) 매주 화.목 오전 10시~12시(120분) / 17회기 - 대상 : 초등 4~6학년 (* 반별 최대 6~8명, *선착순 마감) - 11월 말까지 사전등록수강생에 한해 첫 달 수업업료 20%할인. - 혼자 책 읽기, 한국사 흐름, 글쓰기 어려워하는 학생 필수!!
하이브릿지학원
2025.11.18
서구 둔산동
🚀 얼리버드 방학특강 (~12.31)
방학을 의미 있게 보내고 싶다면? 지금이 커리어를 준비할 최적의 시기!😤 시작이 빠를수록 기회도 빨라집니다. 지금 바로 클릭하세요~!👍 💡 코린이 탈출부터 실무 스펙업까지! 현장에서 바로 통하는 실무형 AI 과정으로 준비했습니다.🕵️♀️ 🎁 겨울방학 한정 특별 혜택 1️⃣ 사전 신청 시 최대 40% 수강료 지원 2️⃣ 인기 클래스 자리 우선 배정 3️⃣ 상담만 받아도 따뜻한 선물 증정 4️⃣ 친구 추천 시 상품권 지급 5️⃣ 기간 내 등록 시 원데이클래스 무료 지원 👉 방학이 지나가기 전에, 커리어 준비도 얼리버드로 시작하세요! http://dj-koreaitaca.kr
코리아아이티(IT)아카데미학원
2025.11.27
중구 남산동
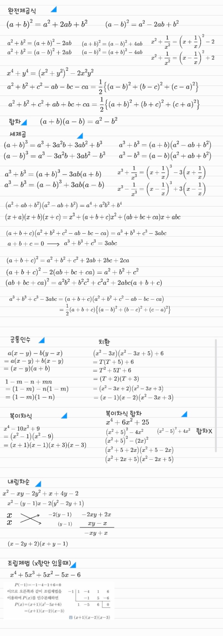
고1 곱셈공식 인수분해
오늘은 곱셈공식 곱셈공식 변형 인수분해공식을 정리해 봤습니다 이제 중3 아이들은 다 고등선행을 시작했을텐데요 첫 단원부터 정신이 없을거라 생각해요ㅎㅎ 아는만큼 보이는거라 공식 확실히 외워두시면 문제 흐름이 보일거예요 인수분해는 1 공통인수 2 치환 3 공식 4 조립제법 5 내림차순 6 복이차식 6개에서 크게 벗어나지 않습니다 열심히 외워두세요 #남산4동수학학원 #남산동수학학원 #명덕초 #남산초 #경북여고 #신명고 #사대부고 #대구고 #성명여중 #경구중 #미적분 #지수로그함수공식 #쎈 #남산4동수학교습소 #남산동수학교습소 #ju수학교습소 #곱셈공식 #곱셈공식변형 #인수분해 <img src="https://blogthumb.pstatic.net/MjAyNTEyMDhfMSAg/MDAxNzY1MTk2MzYwMTYw.OT5nTmzUR4RmIXOqd1SgaC4zyDJnYTdYAkPVATPtHU0g.kGEGrD02oPYIEo8aKW74Xio1OvPpDAISMj9UkGSplkwg.JPEG/900%A3%DFScreenshot%A3%DF20251208%A3%DF211739%A3%DFSamsung_Notes.jpg?type=s3" />
JU수학교습소
4일 전
구리시 수택동
[프리미엄학원 고등관]2026학년도 미리보는 고등학교별 영어 내신 설명회 안내
학교별 전임강사와 함께하는 2026 미리보는 고등 내신 수업 설명회 12월 6일(토) 동화고/구리고/구리여고 12월13일(토) 토평고/인창고 12월20일(토) 수택고/삼육고 각 고등학교별 설명회에서 학교별 담당강사와 함께 합니다.
프리미엄학원
어제
서초구 방배동
초등고학년 문법 ,서술형 겨울방학특강
방배동 영어학원 방배파머스영어 지니원장입니다 이번 1~2월 겨울방학 동안 진행되는 초등 고학년 문법·서술형 집중특강 안내드립니다. 📘 매주 월요일 특강 수업 구성 ✔ Grammar 집중 학습 + 서술형 문장 쓰기 ✔ 주 3편 Story Reading & Comprehension Test 매주 월요일은 아이들의 문장 구조 이해력, 리딩 기초 체력, 그리고 서술형 쓰기 능력을 키우는 데 집중하는 날입니다. ■ 특강 수업 내용 안내 1) 문장 구조 분석 (Sentence Structure Analysis) 문장의 1~5형식을 정확히 구분하고, 문장에서의 주어·동사·목적어·보어·수식어 역할을 눈에 보이게 정리합니다. 문장 구조가 보이면 리딩 속도와 정확도, 말하기가 동시에 올라갑니다. 많은 학부모님들이 리딩 속도만 고민하시지만, 실제로는 “문장 구조가 보이느냐”가 실력 향상의 결정적인 지점입니다. 2) TO 부정사 완전 정리 to부정사를 명사처럼 쓰일 때(주어·목적어·보어) 형용사처럼 쓰일 때 부사처럼 쓰일 때 로 나누어 예문과 함께 정확하게 정리합니다. to부정사의 쓰임만 제대로 이해해도 리딩 지문의 이해도와 문장 해석력이 급격하게 달라집니다. 3) 서술형 문장 쓰기 훈련 아이들이 배운 문장 구조·to부정사 개념을 가지고 직접 문장을 변환·확장·재구성해보며 서술형 문장 쓰기를 진행합니다. ✔ 개념 → 구조 → 나만의 문장 만들기 이 흐름이 정확히 잡혀야 중학교 서술형 대비가 완성됩니다. 4) 매주 Story 3편 읽기 + 독해 테스트 주간 숙제는 스토리 3편 읽기이며, 수업 시간에 각 스토리당 5문항의 독해(comprehension) 테스트를 진행합니다. 스토리를 단순히 읽고 끝나는 것이 아니라, 문장 구조와 어휘, 핵심 문장을 다시 잡아주기 때문에 읽기 실력이 훨씬 단단해집니다.
파머스영어교습소
1주 전
광진구 중곡동
2027학년도 대입 성공전략 예비고3 학부모 설명회 안내
📢 [예비 고3 학부모 설명회 안내] 안녕하세요, 대학입시의 TOP 고려학원입니다. 현 고2(예비 고3) 학부모님과 학생 모두 혼란스러운 입시 환경 속에서 #대입 추세와 자녀에게 적합한 전형 등에 대해 고민이 많으시죠? 💡 그래서 준비했습니다! #고려학원 에서 📚 27학년도 입시 분석 & 대입 성공전략 #입시설명회 를 진행합니다! 😀 이번 설명회를 통해 앞으로의 #대입 준비 방향을 확실히 잡아보세요! - 📅 일시: 2025년 12월 9일(화) 오후 8시 📍 장소: 고려학원 고등관 세미나실 🎯 대상: 현 고2 학생 & 학부모님 📱 문자예약: 010-6296-6781 (학교 / 학년 / 학생이름을 함께 보내주세요!) - ※ 자세한 내용은 하단 블로그에서 확인하세요! https://blog.naver.com/kevin-t/224087347916
탑(Top)고려보습학원
1주 전
전주시 덕진구 송천동2가
2026 수능 자연계 백분위 전국 수석, 잇올 스파르타에서 나와
관리형 독학재수학원 ㈜잇올의 대표 브랜드 ‘잇올 스파르타’에서 2026학년도 대학수학능력시험(수능) 전국 자연계 백분위 400점 만점의 수석이 나온 것으로 확인됐다. 해당 학생은 상산고등학교를 졸업한 뒤 잇올 스파르타 대전 유성센터에서 수능을 준비를 했으며, 올해 수능에서 국어·수학·탐구과목(화학Ⅰ,생명과학Ⅰ) 백분위 합 400점을 기록해 전국 수석으로 확인됐다. 특히 국어·수학·탐구과목 표준점수 합이 427점으로, 올해 확인된 자연계 만점자들의 표준점수인 423점·424점 등과 비교해 더 높다. 이는 올해 자연계 만점자들의 표준점수 조합과 비교해도 경쟁력 있는 성적이라고 볼 수 있다. ㈜잇올 백태규 의장은 “전국 수석 배출에.......
잇올스파르타송천독학재수학원
3일 전
송파구 방이동
대세수학학원 초등 입학 설명회
엄마들이 잘 못 알고 있는 수학 학습법 냉정하게 사실만 말해드립니다. 초등입학설명회는 사전예약이 필수입니다! 📍 초등입학설명회 12월 매주 화, 토 화 : 오전 10시 / 토 : 오후 3시 대상 : 초 4,5,6학년 학부모 사전예약 : 02-416-3355
대세보습학원
2025.11.14
오산시 원동
웨스트포인트 한인 생도 김시온, 최우등 졸업 쾌거… “리더십과 자기주도 학습의 모범 사례
https://www.cbci.co.kr/news/articleView.html?idxno=539645
에이스학원
2025.11.19
도봉구 쌍문동
수미사 중계관] 은행사거리 수학학원 겨울방학 특강안내
https://junggye.sumisaedu.com/cmm/?MODE=view&BD_CD=NOTICE2&MSEQ=143
수학에미친사람들선덕관학원
2025.11.23
동두천시 지행동
📍2026년 고1/2학년 신입생 모집
#동고 #중앙고 #한빛누리고 #비상아이비츠학원
비상아이비츠학원
2025.12.01
익산시 모현동1가
중계동국어학원 은행사거리논술학원 부산대 간호학과 합격수기 내신수능논술 동시대비 합격후기사례 은행사거리논술 창동국어논술 수리논술 약술형논술 약술논술 내신수능국어수학입논술 동시대비
국어 수강=> 정시 부산대 간호학과 합격 합격수기 김000//부산대 간호학과 고2때 모의고사 2,3 등급을 받았습니다. 그래서 국어 학원을 다녀야 할 필요를 느끼지 못하였습니다. 그러다 고3 들어오면서 갑자기 국어 모의고사 난이도가 확 높아진 것 같은 느낌을 받고 급하게 세손교육에 다니기 시작하였습니다. 고2때 2등급에서 3등급으로 왔다갔다 하더니 고3 들어서면서 시험 유형이 확 바뀌고 매우 어려워지면서 성적이 4등급으로 급격하게 떨어졌습니다. 그때 아직도 생생하게 기억나는데 너무 충격이어서 집에서 밤 늦게까지 펑펑 울었던 기억이 나네요. 그때 국어쌤은 오히려 잘 봐서 거만해져서 국어공부를 소홀히 하는 것보다 이....... <img src="https://blogthumb.pstatic.net/MjAyNTEyMTBfMjAz/MDAxNzY1MzYwMzExNTg3.Jw843iyQo_5GNfmGZfWcZgnshRFLPubANorm1DOw6-8g.tc47bSnxe2C1qpdgYlN2vGsvZ3ZXrAh-85dNFANId6Ug.PNG/11.29.%C5%E4.%B1%B9%C6%F7%C0%DA%C5%BB%C3%E2%C8%AD%B8%E9_%C4%B8%C3%B3_2025-11-29_112819.png?type=s3" />
α+영수전문학원
2일 전
창원시 진해구 석동
중3 특성화고 진학 학생을 위한 특강
🏆 20년 경력의 명장 배출 산실! 송기형전산학원 마이스터고 진학 특별전형 특강 오픈!안녕하세요! 20년 전통, IT/컴퓨터 교육 명가 송기형전산학원입니다.기술 명장을 꿈꾸는 마이스터고등학교 진학을 앞둔 학생들을 위해 합격부터 고교 생활 심화 학습까지 완벽하게 대비할 수 있는 특별 과정을 개설합니다.
송기형컴퓨터전산학원
4일 전
안양시 동안구 평촌동
수학등급 올리기 골든타임!! 평촌수학학원 매쓰토리수학 겨울특강
수학 공부에서 개념노트가 중요하다는 말은 수도 없이 들었을 겁니다. 근데 실제로 개념노트를 쓰려고 보면 “뭘 어떻게 써야해요?라는 말을 많이 듣습니다.교과서를 그대로 베껴 쓰라는 건가? 학원에서 칠판에 설명하는 것을 아무 의미없이 받아 적으라는 건지? 그리고 개념을 쓰고 나서 어떻게 활용하지?"아이들에게는 질문이 막 생깁니다.결론만 말하면, 평촌수학학원 매쓰토리에서는 기본적으로 아이들의 개념 노트를 일일이 체크를 하고 활용 하는 법에 대해 많은 이야기를 합니다. 일단, 개념노트를 쓰는 데에는 기본적인 원칙이 있는데, 각자의 공부 방법에 맞게 조금씩 덧붙여가는 것입니다. 마치, 우리가 블로그나 인스타에 댓글을 쓰는 것 처럼입니다.개념노트 쓰는 원칙 첫번째 : 교재에 나온 개념을 그냥 베껴적는 것은 도움이 안됩니다.개념노트에 단원의 기본이 되는 개념, 주요 개념들을 적는 것은 분명한데요. 여기서 중요한 것은 평촌수학학원 매쓰토리만의 다년간의 경험에 의한 핵심개념에 대한 정리입니다.교과서에 문제집 등에 나온 개념을 그대로 베껴 적는 것은 아무 소용이 없습니다.모르는 채로 베껴 적는 건 글씨 연습밖에 안되는 것입니다. 개념이 나온 원리와 적용 방법까지 평촌 수학학원 매쓰토리만의 노하우가 녹아있는 것이 진정한 개념 정리입니다. 즉, 지속적인 반복으로 인해 개념이 몸에 체득이 될 때까지 평촌 수학학원 매쓰토리는 반복또,반복을 시킵니다. 개념을 이해를 못하는데 공식에 의해 문제집만 많이 푸는 것은 도움이 안됩니다. 거듭 강조하지만, 무슨 내용이 모르는 채로 쓰면 안 된다는 겁니다. 개념노트 쓰는 원칙 두 번째 : 개념학습 단계에서 쓰는게 개념노트가 아니라는 사실입니다. 1. 단원명을 쓰고, 2. 소주제를 적은 뒤, 그 밑에 3. 여기서 중요한 건 이런 것이다. 라고 강조점을 두는 것처럼 예를 들면 지수로그 단원에서 지수와 로그의 상관관계 같은 것을 나름대로 적는 것입니다. 사실 지수와 로그는 같은 것 이거든요. 4. 내가 생각하기에 문제풀이의 핵심이 되는 것이나 평촌수학학원 매쓰토리에서 설명해주신 풀이의 포인트들을 이어서 적어 두는 것입니다. 대략적으로 문제풀이가 다양하게 적용되는 것을 맛본 아이는 사고를 확장하게 됩니다. 그럼 이 개념노트는 언제 활용할까? 물론, 문제를 풀다가 막힐 때 개념노트를 살펴보는 것도 있지만 내가 이해한 상태로 적어두었기 때문에 교과서/문제집 개념설명을 보는 것보다 훨씬 효과적입니다. 개념노트를 제대로 활용하기 위해서는 개념노트+오답노트로 써야 합니다. 개념노트 쓰는 원칙 세번째 : 오답노트까지 추가하면 수능에서도 강력한 힘을 발휘 5. 개념노트의 개념 밑에 오답을 씁니다. 해당 개념에 틀렸던 문제를 그 밑에 쓰는 것입니다.당연히, 개념을 배우고 문제를 꽤 풀고 난 다음, 내가 뭘 틀리는지 알고 잘 틀리는 유형이 뭔지를 알아야 그 때 쓸 수 있는 겁니다.그 때쯤이면 자기가 무엇을 정리해야 할지 매우 명확해지기 때문에 해당하는 부분만 골라서 살펴볼 수 있거든요. 학습량이 많고 시간의 부담을 많이 주는 수학과목, 겨울 방학기간 노력을 하여 개념노트를 작성하는 연습을 많이 해서 시간낭비를 줄이고 효율적으로 공부하는 법을 평촌수학학원 매쓰토리에서 배워야 합니다.
매쓰토리수학학원
4일 전