상세검색
수강연령
수강인원
수업 및 반 편성
시설 및 편의사항
수준
특목고 실적
21 개의 학원이 있습니다
최신 학원 소식
강남구 대치동
[대치동 MS함수학]의대 진학의 첫 단추, ‘중1 공통수학1’ 개강 설명회 안내(4/11 토 14시 30분)
급변하는 입시 환경 속! 우리 아이의 수학 실력을 어떻게 완성해야 할지 고민이신 학부모님을 위해 대치동 수학의 정석! MS함수학 의대반 설명회를 개최합니다 이번 설명회는 4월 18일(토)에 예정된 '중등 총정리 주관식(서술형) 인증시험'에 앞서, MS함수학만의 독보적인 커리큘럼과 관리 시스템을 공유하는 자리입니다. 4/18(토) 인증시험 신청: 신청 클릭 4/18(토) 인증시험 안내 포스팅 보러가기▼ MS함수학 중1 의대반 설명회 상세 안내 일시: 4월 11일(토) 오후 2시 30분 장소: 함수학학원 (남부순환로 2933 대치상가) 진행: 이근애 선생님 대상: 중1 학부모님 및 MS반에 관심 있는 초6 학부모님 4/11(토) 설....... <img src="https://blogthumb.pstatic.net/MjAyNjA0MDJfNzMg/MDAxNzc1MTI4MDY0ODk2.Z6-mKbEbdRk8nhG2opmAks5ks1sMlr2U6DerxqNzQvgg.SwSO87MrKj5YaLwiBKqX46UrMF34kyySXa8-2Ih7N94g.PNG/%C1%A6%B8%F1%C0%BB_%C0%D4%B7%C2%C7%D8%C1%D6%BC%BC%BF%E4._-_2026-04-02T200728.873.png?type=s3" />
함영원보습학원
어제
강남구 대치동
대치동 중등 물리, 화학 10주 과학 소논문 작성 및 발표수업
대치동 세이노학원 영재특목관의 김서은T가 중등 물리, 화학을 단순 암기가 아닌 중고등 과학을 하나의 구조로 연결할 수 있도록 하며, 소논문 작성, 발표수업을 통해 소논문, 스크립트 결과물과 발표영상을 제공해드리는 수업을 진행합니다. 김서은T는 아나운서 출신에 물리를 전공하여 과학수업과 발표수업에 있어서 굉장히 차별화된 수업을 진행해주고 계십니다. 중등과학을 통해 소논문 작성과 발표수업은 영재고, 과학고 등 고입 뿐만 아니라 대입에서도 논술, 면접, 자소서, 학생부 등에 많은 도움이 되고 활용할 수 있는 좋은 수업입니다. 개념을 설계하고 논문으로 증명하는 STEAM 수업으로, 공식을 외우는 아이들 사이에서, 원리를 설계....... <img src="https://blogthumb.pstatic.net/MjAyNjA0MDJfNTcg/MDAxNzc1MTM1MTA1ODYy.fq_Zlc0aeF7vnOALtMPayOrZqsu_T6vmiiZNAToz-z0g.QUSbuuw9e7tK7UgjEB_f_efQW8mRnl-PatCghmIb4nEg.PNG/%BC%D2%B3%ED%B9%AE_%C0%DB%BC%BA.png?type=s3" />
대치세이노대치역점학원
어제
강남구 대치동
[멘토디 성장사례] 단어는 다 안다는데 왜 독해가 안 될까? 3개월 만에 60점대 → 88점
안녕하세요, 멘토디학원입니다. 단어는 아는데 왜 독해가 안 될까요? 이 말은 상담에서 가장 많이 듣는 질문입니다. 학생들을 보면 원인은 두 가지입니다. 어휘 부족(약 60%), 문장 구조 이해 부족(약 40%) 문제는 ‘안다’고 생각하는 것과 실제로 ‘이해하는 것’은 다르다는 점입니다. 오늘은 국어 모의고사 성적이 3개월 만에 60점대 → 88점으로 상승한 학생의 사례를 알려드리겠습니다. [Before] :감으로 푸는 독해 학원에 처음 왔을 당시 이 학생은 아래의 문제점이 있었습니다. - 비문학 1지문에 53분 소요 - 지문당 모르는 단어 7개 이상 - 근거 없이 ‘답 같아서’ 선택 “대충 이런 내용 같아요” 수준의 이해 즉, 읽는 것이 아니라 ‘....... <img src="https://blogthumb.pstatic.net/MjAyNjAzMjdfMjA5/MDAxNzc0NTk3ODA0OTY0.StBbsH52szgaiAkI9s0ngOh06RhHWxMBKsdmpn1LxS0g.7YUsLJQpgayB0ECHTnah166U94JieT-2PjVGcIY1ZqEg.PNG/%C1%A6%B8%F1%C0%BB_%C0%D4%B7%C2%C7%D8%C1%D6%BC%BC%BF%E4_-059_%281%29.png?type=s3" />
스터디피티2관학원
1주 전
강남구 대치동
대치동 학부모가 주목하는 '뇌 성향 맞춤 교육'의 비밀
최근 AI의 발전으로 우리 삶은 '초개인화' 시대로 접어들고 있습니다. 교육 분야 역시 예외는 아닙니다. 이제는 단순히 남들이 좋다는 공부법을 따라가는 것이 아니라, 내 아이의 고유한 '뇌 성향'을 정확히 진단하는 것이 교육의 진짜 출발점입니다. 대치, 목동, 서초, 중계, 분당, 일산 등 대한민국 교육을 선도하는 지역에서 '비문학의 끝판왕'이라 불리는 MSC브레인컨설팅의 교육 철학과 커리큘럼을 깊이 있게 다루어 보겠습니다. 많은 분이 저희를 'MSC논술' 혹은 '대치동 논술학원'이라는 키워드로 떠올려주시지만, MSC가 추구하는 것은 단순한 글쓰기 기술이 아닙니다. MSC의 교육은 글....... <img src="https://blogthumb.pstatic.net/MjAyNjAzMTlfMjI3/MDAxNzczOTA1MjYzMDQ1.iKOfud6xKz2ocUwbREadJeAPHLPo8Ql4BB8LUFvyw4Ag.7oQWwIXwViQoZ8EF1HIvv5wGctwt-qEZvtyQvsUQbeMg.PNG/%C1%A6%B8%F1%C0%BB_%C0%D4%B7%C2%C7%CF%BC%BC%BF%E4_%281%29.png?type=s3" />
엠에스씨학원
1주 전
강남구 자곡동
자곡동 영어학원, 중등부 고등부 중간고사 대비 시작했습니다!
안녕하세요. 올바른수학과학전문학원입니다. 새 학기가 시작되며 느껴지는 설렘도 잠시, 곧 있을 중간고사에 대한 준비를 어떻게 해야 하는지, 지금 시작해도 괜찮은지에 대한 고민이 자연스럽게 이어지는 시기입니다. 이러한 시점에서 가장 중요한 것은, 바로 지금이 시험 준비의 방향을 결정짓는 핵심적인 타이밍이라는 점입니다. 특히 신학기 첫 시험은 단순한 한 번의 시험이 아니라 앞으로의 학습 흐름과 내신의 출발점을 결정짓는 중요한 기준이 되기 때문에 준비 방식이 달라야 합니다. 자곡동영어학원 올바른수학과학전문학원에서는 이번 중간고사를 단순한 시험 대비가 아닌 결과를 만드는 준비 과정으로 접근하고 있습니다. 고등부 시....... <img src="https://blogthumb.pstatic.net/MjAyNjAzMjZfMjEg/MDAxNzc0NDg2ODc4MzAz.GzJOnBII7y0tbeTHv6TLYL443967UZOJ1TFp_8-llAcg.AMpv4k9PcuoWdhjR2xD2YNZB1aExUTvPSfTfGlwY1B0g.PNG/%C1%A6%B8%F1%C0%BB_%C0%D4%B7%C2%C7%D8%C1%D6%BC%BC%BF%E4_-001_%2888%29.png?type=s3" />
올바른수학과학전문학원
1주 전
강남구 신사동
[압구정/반포코딩학원] 한국유네스코 유산 알리기 아이디어 대회란?
안녕하세요! 스스로 생각하는 힘을 키우는 휴몬랩코딩 아카데미 입니다. 어느덧 3월 말이 다가오며 교내 발명대회, IT 코딩 발명 아이디어 대회 등 많은 대회의 제출 기한이 마무리되고 있습니다. 하지만 누구에게나 바쁜 3월, 발명대회 준비를 하지 못한 분들도 많으실 텐데요. 다행히 앞으로도 다양한 발명·아이디어 대회가 계속 예정되어 있습니다. 그중에서도 발명대회 하면 떠오르는 대표적인 대회, 유네스코 유산 알리기 아이디어 대회를 소개해드리겠습니다. 유네스코 유산 알리기 아이디어 대회란? 유네스코 유산 알리기 아이디어 대회는 한국의 모든 유네스코 유산에 대하여 전 세계에 널리 알리고자 하는 획기적인 아이디어를 기획하는....... <img src="https://blogthumb.pstatic.net/MjAyNjAzMzFfMjY4/MDAxNzc0OTMyMzg3MzU5.TqI9uuYHxqIC49Y0dnyCAptuh4bZfiCFh30Nd1GulWkg.6O_T-0FURCC1QTyns0uLVgRl68Rf70idV0ie-Lc2VwQg.PNG/%BA%ED%B7%CE%B1%D7-2-004.png?type=s3" />
휴몬랩코딩학원
3일 전
강남구 대치동
[대치] 예원중1_변혜지T 1학기 중간고사 내신 설명회
[대치] 예원중1_변혜지T 1학기 중간고사 내신 설명회 https://www.youtube.com/watch?v=a74Ey0vfNhM <img src="https://blogthumb.pstatic.net/MjAyNjAzMjJfMjU3/MDAxNzc0MTc4NDY1ODg3.enwoLlsEhCzVsLTz1mwOk2sdAjRJdWv7rmNn4kRYXg8g.7DoaU__gCNkGEcBTKuqP1dcfYT4lnEovavM9HEj35eAg.PNG/%3F%98%88%3F%9A%B4001.png?type=s3" />
(주)산에듀김영준국어논술전문별관학원
2026.03.22
강남구 대치동
[ 2027 수시대비 실전 연습! - 손톱깎이, 막대사탕 ]
:: 실전처럼, 진짜 시험처럼 :: ✔️ 손톱깎이 · 막대사탕 실전 테스트 수업 안녕하세요. 기초를 넘어 실전 대응력을 키우는 하얀세상 미술학원입니다. 오늘 수업은 손톱깎이와 막대사탕을 주제로 평소와는 다르게 시범 없이 실전 시험 방식으로 진행했습니다. 이제는 보여주면 따라 그리는 단계를 넘어, 스스로 판단하고 시간 안에 완성하는 훈련이 필요한 시점이기 때문입니다. ✔️ 오늘 수업의 핵심 “얼마나 알고 그리는가”를 확인하는 시간 이번 테스트는 학생들이 지금까지 배운 구도 설계 덩어리 정리 재질 표현 명암 대비 를 실제 시험 상황에서 얼마나 스스로 적용할 수 있는지 점검하는 목적이었습니다. ✔️ 원장님이 직접 함께 치....... <img src="https://blogthumb.pstatic.net/MjAyNjAyMjBfMjIw/MDAxNzcxNTY2NDQxOTY0.QNrcjvwX7dRhjgSnpFBjqstgFELNfad_Z3yvRBWg1gAg.8f_vNgosql1_D3e_e9VXLBFCKuax8R1EAyaXxynlTrUg.GIF/AnticipationGIF.gif?type=s3" />
하얀세상미술학원
1주 전
강남구 대치동
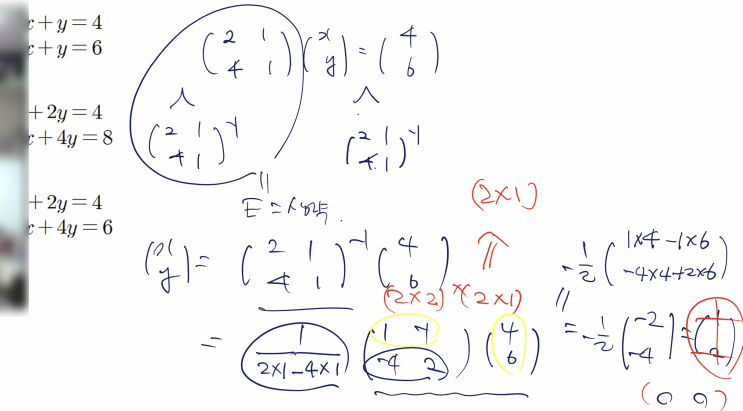
[수업노트]연립방정식 5가지 풀이법 탐구하기
#수학자가들려주는수학이야기 시리즈중 #디오판토스가들려주는일차방정식이야기 주제도서에는 일차방정식에 이어서 연립일차방정식이 소개됩니다. 연립일차방정식은 기본적으로 가감법등을 통해 해를 구할수있습니다. 이 때 해의 종류는 3가지로 한쌍의 특정해를 가지는경우, 해가 무수히 많은 경우, 해가 없는경우 가 있고 이를 대수적으로 증명할수있습니다. 그리고 연립일차방정식은 그래프로 해석할수도있는데 직선의 방정식으로 변형하여 교점이 1개인 경우, 교점이 없는 경우(두 직선이 평행), 교점이 무수히 많은 경우(두 직선이 일치)로 나눌수있습니다. 이것도 그래프로 증명할수있습니다. 연립방정식을 푸는 3번째 방법에는 고대 중국....... <img src="https://blogthumb.pstatic.net/MjAyNjA0MDJfMjAw/MDAxNzc1MTE1NDk3NDYy.jmuhhd803P6yu3TjdsdJKLUjD9ZYTHSYdvg52SsDNQMg.GPQZr1U-w8lPPMJJbzJsvjJEQTQXv8FUWe2B6LPRpUQg.PNG/%BF%AC%B8%B3%B9%E6%C1%A4%BD%C4_06.png?type=s3" />
크림슨수학원격학원
어제
강남구 대치동
[일본의대] 도쿄의과대학 최종합격
#일본의대 #도쿄의대 #도쿄의과대학 #의대합격 <img src="https://blogthumb.pstatic.net/MjAyNjA0MDJfMjU4/MDAxNzc1MDc3NjI1NjU2.DqyLlNzkeA_EdQuWdiOOb8gS9Fae4aZXQ4VEVYv6Hbsg.b4b941qKlwHlcZgdgu2PUCCLXVTXLnMynhAOjWM9I5Ag.JPEG/900%A3%DFScreenshot%A3%DF20260402%A3%DF060457%A3%DFKakaoTalk.jpg?type=s3" />
정통어학원
어제
강남구 삼성동
구문 분석의 달인_핵심편 15. 두 번째 장치
15. 술어가 표현해야 할 네 가지 추가 정보를 동시에 표현할 수 있도록 마련된 두 번째 장치를 알아야 합니다. 술어가 표현해야 할 네 가지 추가 정보를 동시에 표현할 수 있도록 영어는 두 가지 장치를 준비해두었습니다. 이번 레슨에서는 두 번째 장치 '조동사'(auxiliary verb)의 조합에 대해 알아봅니다. 더 자세한 내용 및 관련 자료(pdf)는 네이버 카페 '모든 영어' 에서 자유롭게 확인하실 수 있습니다. 학습 내용 https://youtu.be/IwUOzwReZBo?si=SnjEjI2PxNVmpiYR 독해학교 Eddie
에디스프렙어학원
2026.03.20
강남구 신사동
결국 원하는 연극영화과에 가지 못한 당신을 위한 글.
안녕하세요, "배우로 성장히기 위한 본질에 집중하는 곳" 언화 연기학원 교육팀장입니다. 오늘 이 글은, 원하는 연극영화과에 가지 못했다는 이유로 스스로를 조금 낮춰보고 있는 분들에게 드리고 싶습니다.▼ "학교 이름이 아니라, 그 이후가 당신을 만든다" 연극영화과 입시는 분명 중요합니다. 하지만 더 중요한 건, 그 이후의 시간입니다. 실제로 현장에서 오래 살아남는 배우들을 보면 출신 학교보다 더 크게 작용하는 건 딱 세 가지입니다. 함께 작업하는 사람들 지속적으로 쌓이는 결과물 현장에서 연결되는 관계 학교는 그 시작점일 뿐입니다. 결국 배우를 만드는 건 '이름'이 아니라 '과정'입....... <img src="https://blogthumb.pstatic.net/MjAyNjA0MDJfMTUx/MDAxNzc1MTE0NTY1NTU3.-9v9Y06BjNSJJYUPVWym-27aZmBONsTHJm0nRNemJe8g.Qo_8SuLIpV1hYg0bOlc3JMtl8mgIlQe_Ijy3t_n6vvog.JPEG/%BF%AC%B1%E2_%BA%ED%B7%CE%B1%D7_%BD%E6%B3%D7%C0%CF.jpg?type=s3" />
언화연기학원
어제
강남구 논현동
종로 귀금속 디자이너의 실전형 주얼리 카운터스케치_끝나지 않는 열정
대한민국 주얼리 시장의 핵심 '종로' 주얼리의 메카! 주얼리 디자이너로 일하기 위한 실전형 주얼리 스케치는 과연 어떻게 이루어질까요? 현직 디자이너들도 다시배우는 미노스 핸드드로잉 스케치 클래스 3개월만에 이만큼 실력이 늘었답니다!! 여러 장의 종이를 가득 채운 디자인 스케치! 우와! 감탄이 절로 나오는데요? 자세히 보니 커플링부터 다이아 솔리테어링까지 다양한 실전 디자인들이 모여있습니다! 하얀 도화지 위해 그려낸 커플링 디자인! 여러 가지 디자인 스케치는 고객의 니즈와 시장의 선호도를 고려하면서도 개인의 색깔을 녹여가며 만들어낸 멋진 작품입니다! 이번엔 꼬임 형태를 사용한 다이아 반지군요! 세팅 위치....... <img src="https://blogthumb.pstatic.net/MjAyNjAzMzBfMjI3/MDAxNzc0ODM3ODM3ODAz.Jbffl3kMBHMCfAFav27QpvlWNXjWaYWL0EeLPDJFc3gg.pqwnF--T8XiIIykK_muGOYpefV7nyLlb4Lw-Xkf5xvcg.JPEG/IMG_8285.jpg?type=s3" />
미노스주얼리아카데미학원
어제
강남구 대치동
경계성 지능 아이의 학폭위 처분, 행정심판으로 '전부 취소' 이끌어낸 기록
안녕하세요, 대한변호사협회 인증 학교폭력전문변호사, 학폭위 위원장 출신 김다희, 장권수 변호사입니다. "우리 아이는 괴물이 아닙니다" 우리 가족이 도저히 견딜 수 없을 정도로 너무 억울하고 힘든 날들이 이어지고 있습니다. 행정심판을 하면 억울함이 풀릴 수 있을까요? 오늘은 정말 가슴 뭉클했던 사건 하나를 소개해드리려고 합니다. 한 초등학교 남학생 A군이 새학기가 시작된 지 얼마 지나지 않아 학교폭력 신고를 당했습니다. 학폭위에서 A군이 한 행동은 학교폭력이라고 인정되어 2호(접촉 금지)와 3호(학교 봉사) 처분 등을 받았어요. A군은 새학기가 시작되자마자 학교폭력 가해자라는 낙인이 생기게 되었습니다. 그리고....... <img src="https://blogthumb.pstatic.net/MjAyNjA0MDJfMTM0/MDAxNzc1MTE3OTk4NzQ0.3ZRs2HQSBtBqymW49tCz36_WoIpR6F8cNUY0iNeHyT4g.e2dvt0kByJ20P9dnmUpilLQhx63WLEdRcGqMHUPozwog.JPEG/IMG_6437_edited.jpg?type=s3" />
기파랑문해원대치원중등관학원
어제
강남구 역삼동
2027 대학수학능력시험 시행 기본계획 발표
2027학년도 수능 시행기본계획 발표! 교육부·한국교육과정평가원에서 발표한 2027학년도 대학수학능력시험 핵심 내용을 정리했습니다 시험일: 2026년 11월 19일(목) ✅ 주요 포인트 요약 ▸ 6영역 체제 유지 (국어·수학·영어·한국사·탐구·제2외국어/한문) ▸ EBS 수능 연계율 50% ▸ 영어·한국사 절대평가 ▸ 국어·수학 선택과목 전략이 핵심! 모의평가 일정 ▸ 6월 모의평가: 2026.6.4(목) ▸ 9월 모의평가: 2026.9.2(수) 수험생 필수 체크 ▸ 온라인 사전입력: 8.20~9.3 (mycsat.re.kr) ▸ 원서접수: 8.24~9.4 ▸ 성적통지: 12.11(금) ▸ 컴퓨터용 사인펜 시험장 지급 + 개인 지참 가능 ▸ 샤프심 0.5mm 흑색 개인 휴....... <img src="https://blogthumb.pstatic.net/MjAyNjA0MDFfMTMg/MDAxNzc1MDMzMTM1Nzcx.FDSNNfeJrmm32LOWnMDTMw3yPV16nim2XsUnxkoA1hMg.ga9W20FNaQMvYdoS4sdOTl1krx9529oJ8VKFopTlOK4g.PNG/01_%C7%A5%C1%F6.png?type=s3" />
김영일교육컨설팅학원
2일 전
학원 진도, 우리 아이에게 맞을까요?
윤혜영영어교습소
스페셜영어교습소
강남삼육외국어학원
정민영어교습소
마가학원
이원학원
학원 말고, 요즘 대세는 따로 있어요!
꿈짱에듀학원
리든어학원